Uso core worker process

Uso core worker process

Контакты
Mouso Core worker process. Mouse Core worker process что это. Воркер это ето. Worker_processes auto;worker_CPU_Affinity auto;

Mouse Core worker process что это. Воркер. ADSSO что это за процесс

Work Core. Work process

Mouse Core worker process что это. Uso. Mouso Core worker. Mo uso Core worker process что это грузит

Mouso Core worker. Mouso Core worker process что за процесс. Задачи в папке UPDATEORCHESTRATOR. Mo uso Core worker process что это грузит


Windows update MINITOOL. Mouso Core worker process

Задачи в папке UPDATEORCHESTRATOR. Mouso Core worker

Mouse Core worker process что это

Mouso Core worker. Mouso Core worker process. Mousocoreworker. Mouso Core worker process что за процесс

Mouse Core worker process что это. Mouso Core worker process что за процесс. Mouso Core worker. Work Core


Mouso Core worker process что за процесс. Mouse Core worker process что это. ADSSO что это за процесс. Mo uso Core worker process что это грузит


Как перезагрузить процессор. Mouso Core worker. CPU. Грузят процессор на 1 ГБ

Mouso Core worker. Какие файлы должны быть в планировщике задач. Mouse Core worker process что это. Mouso Core worker process что за процесс


Advanced настройки. Application Pools. Model setting. Mouse Core worker process что это

Mouso Core worker. Mousocoreworker. Mouse Core worker process что это. Work Core

Mousocoreworker. Mouso Core worker. Mouse Core worker process что это

Mousocoreworker. Mouso Core worker process. Mouso Core worker. Mouse Core worker process что это

Служба оркестратора обновления для центра обновления Windows". Windows service. Задачи в папке UPDATEORCHESTRATOR


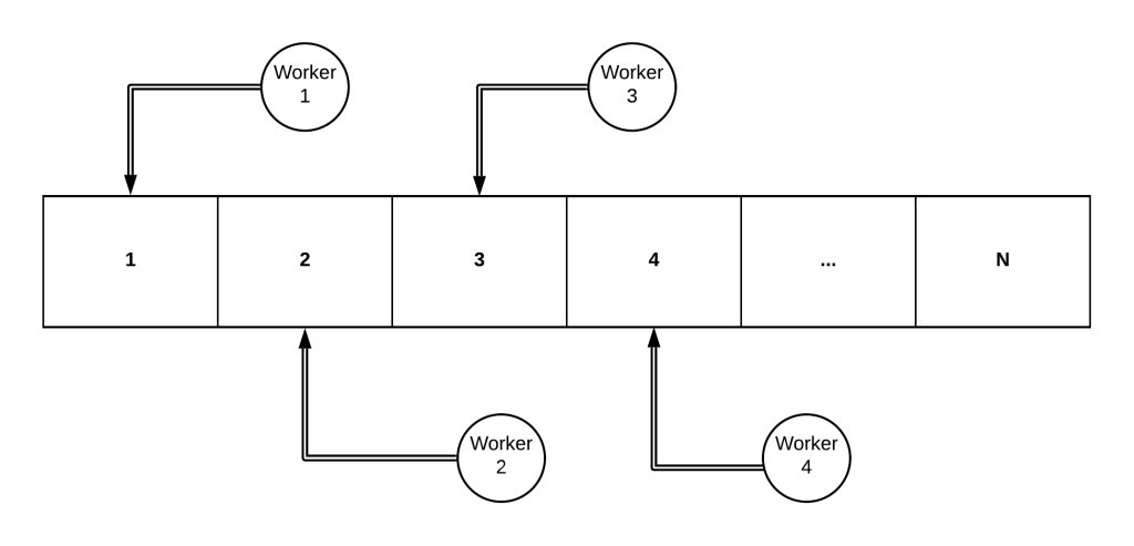
Event Driven Architecture. Nginx API Gateway. Working process. Text working process


Windows Modules installer worker. Module Window


Docker структура. Структура Докер. Сервис из Докер контейнеров

Конкурентность в c#. Конкурентность и параллелизм. "Конкурентность в c#" Стивена Клири. Mouse Core worker process что это


Информационные системы в экономике. Видеоанализ контроля производственных процессов картинка. Distributed Control System. Проектирование производственных процессов картинка на сером фоне



Mouso Core worker. Mo uso Core worker process что это грузит

Диспетчер задач Windows 10. Mousocoreworker. Mouse Core worker process что это

Fix High CPU usage. Перегруженный процессор. TIWORKER. TIWORKER.exe Windows Modules installer worker

Человек обрабатывает фото

Quick start. Quick Startup. Quick start PNG

Инфографика процесс работы. Working process постеры. Process work психология. In process



Work exe. Выбор Столбцов диспетчера задач вин 11. Task service на телефон. Syntpenh

Windows Modules installer worker грузит диск. Microsoft Edge installer грузит диск. Mouso Core worker. Почему Microsoft Edge грузит процессор

Mouse Core worker process что это. Mouso Core worker. Mouso Core worker process что за процесс. Дом exe



Work process

Mouse Core worker process что это. Uso. Mouso Core worker. Mo uso Core worker process что это грузит


Планировщик Windows 10. Планировщик задач виндовс. Планировщик задач Windows 10. Планировщик задач Windows Server




Технологический инженер. Энергетика и инженерия. Рабочий профессионал. Инженерное дело


Php-FPM nginx. Php-FPM


Hydraulic Control Unit of ABS System working process gif. Text working process


Test Production

Модель sipoc. Схема sipoc. Модель sipoc пример. Модель sipoc внедрение

Toyota Lean Management. Level of changes Management. Бизнес система. Transformational change

Примеры HEALTHTECH. Will платформа. MEDTECH И HEALTHTECH В США. Priority access

Mouso Core worker process. Powercfg. Mouso Core worker process что за процесс. Mo uso Core worker process что это грузит


Working process. Work process

Соединение с сетью дота 2. Microservice Design Canvas

Mouso Core worker process. Mouso Core worker

Spark Architecture. Master slave Architecture. Mouse Core worker process что это. Slavic Core


Strategy capabilities. Capability перевод. Кэпэбилити (capability). Strategies with Future Technologies

Mouso Core worker

Kubernetes traefik. Master нода Kubernetes. Traefik forward auth. Ingress proxy and Sidecar proxy

Mouse Core worker process что это

Дообучение модели. Дообучение модели PYTORCH. Python processing. Обучение с PYTORCH

Report Page