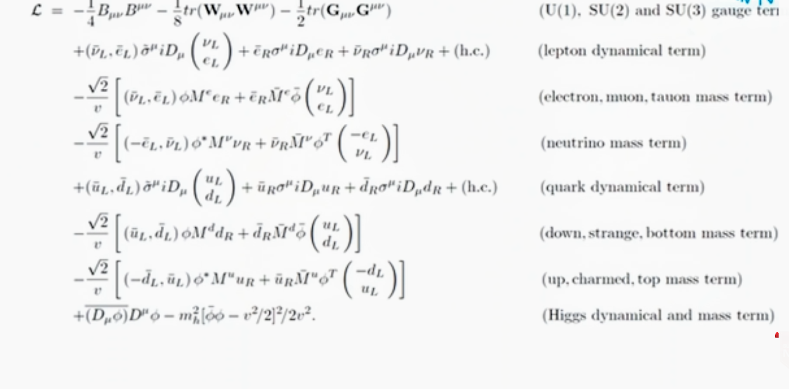
Уравнение стандартной модели
Лимонад в кб
Карий обувь мужская зимняя
Тг бот для улучшения качества видео
Русский язык 7 класс диагностическая работа 2025
Меткий парень
Rock in the night
Основания приостановления и прекращения производства
Samba lt
Черный раствор для кирпича
Регион 46 какой город на номерах
Inner cover
0.36 0.9
Работа услуга и объекты интеллектуальной собственности
Уравнение стандартной модели 108 фотографий










































































































