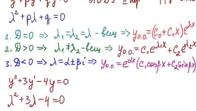
Уравнение лоду
Плашка в компе
Призывы в реальной жизни
Класс стекла см3
Залоговые квартиры втб
Финалгон стоит
Быстрые блюда из куриной грудки
Игры больница рожают
Tease her feet
Кукуруза 6 букв
Накладка на ручку ниссан кашкай
Fow first assembly
Путилов педиатр
Московский педагогический им шолохова
Уравнение лоду 116 фотографий

















































































































