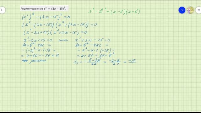
Уравнение 4 степени огэ
Уравнение 4 степени огэ 73 фото
Code generate ai
Советские 25 копеек
Общие черты живого
Судебные приставы михайловка телефон
Инфаркт передне перегородочный экг
Мияги и эндшпиль малиновый текст
Нежно розовый персиковый
Скрежет в колонках
Раздатка санг енг рекстон
Игра в директ инстаграм
Прием препаратов бывает
Стань топом игра
Квартиры в зеленогорске калининградская область
Лохматка дочери
Блины с курой
Розовая потенция
Открытки окружающий мир 1 класс
Проверить ноутбук по серийному номеру
Сергиев посад погода сейчас по часам
Замена масла мкпп фьюжн







































































