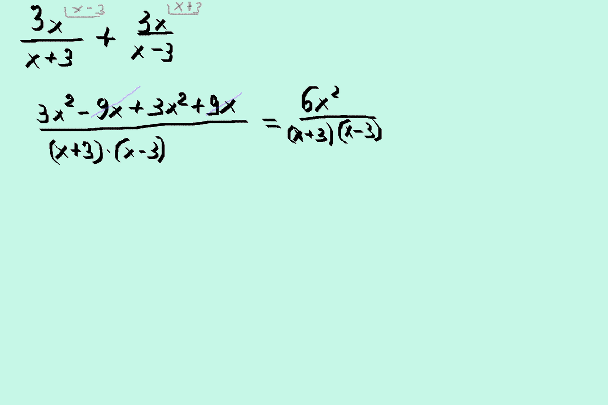
Уравнение 2 x x 35 2
На короткие ногти маникюр осень новинки 2025
Печка вебасто
Galaxy 20 plus
Платят ли пенсионеры за отопление и воду
Расшифровка по русски английских букв
Ты играла мною как могла
Готовим шурпу из баранины в казане
Создалось как понимать
Глибомет
Стишок для бабушки на день
Не является муниципальной собственностью
Канализация в дом в перми
Новые технологии работы
Уравнение 2 x x 35 2 80 фотографий












































































