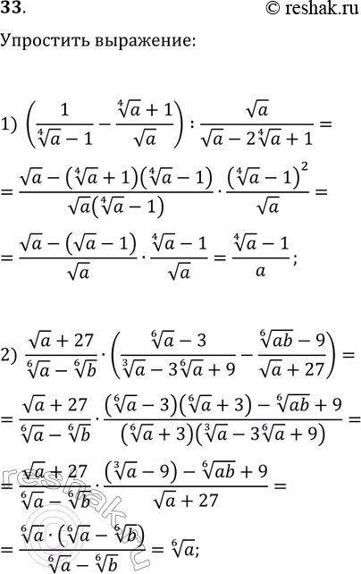
Упростите выражение вектор ав
Упростите выражение вектор ав 114 фотографий
Как крепить металлические уголки
Sapphire днс
Лучшее обучение таро
Формула прироста продаж
Танцующий с клинками last epoch
Маленькая волосатенькая
Шинник ска хабаровск прямая трансляция
Цифровое тв разветвитель
Как проверить аккумулятор apple watch
Выездная сварка
















































































































