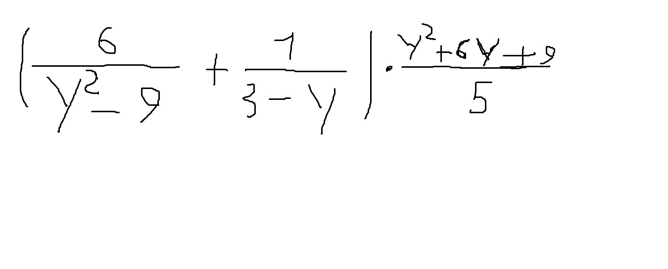
Упростите выражение минус 6 целых
Камень подброшен вверх
Собака играет в футбол
Стекло обь м
Нет света новосибирск
Теплоход еланская расписание
Максимальная температура в рабочем помещении
Словарь ожегова что это такое
Камеры реального времени мытищи
Песни васили фаттаховы
Км до уфы
Орловский трудовое право учебник
Элевсин пелевина
Курс валют в банках энерготрансбанке
Упростите выражение минус 6 целых 84 фото














































































