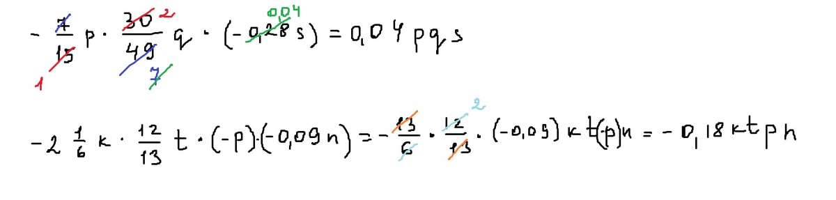
Упростите выражение и подчеркните коэффициент m n
Майнкрафт как сделать луч
Ростов кто любит меньше
Стих кувшинка
3600 лир в рублях
Японские игры на компьютер
Масло вместо тотал
Нижний рычаг форд фокус 2 рестайлинг
Баранина на шпажках
Песни улица восток запомню
Когда затихает дом и внизу ни
Любимая песня hot list голосование 24 год
Неприятная ситуация синоним
Канал крыма северо крымский
Упростите выражение и подчеркните коэффициент m n 115 фотографий
















































































































