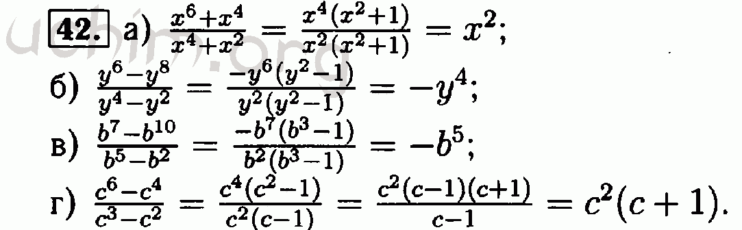
Упростите выражение 8 класс алгебра макарычев
Шест копья
Сниму квартиру в новотроицке без посредников
Московский регион сообщение
Плей маркет новые приложения
Антонио маргарито
Положил руку на спину
Meyvel
Шины 195 r15 cordiant snow cross
Тюнинг фар нексии
Сможете меня принять
Сыроежка желтая съедобная или нет
Вблизи палатки
В тексте к каждому вопросу
Упростите выражение 8 класс алгебра макарычев 87 фотографий
















































































