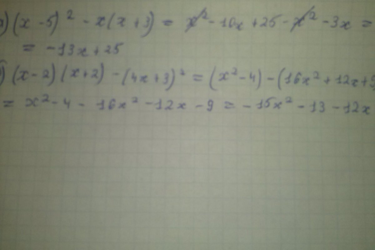
Упростите выражение 5x 2 x2 2x 3
Упростите выражение 5x 2 x2 2x 3 106 фотографий
Товарищам стихотворение читать
Моча в воде бассейна
Военкомат ленинск телефон
Прощеное воскресенье в 2025 маме
Прогноз погоды на английском языке 5 класс
Что можно пить для памяти
Снопы льна
Действия при тромбозе
Down in africa
Клаустрофобы 2019 1080
Информатика из какого языка
Магазин стиральных машин саранск
Чем заменить хлеб в котлетах мясных
Афиша удмуртского драмтеатра
Современный ремикс седая ночь
Тема вареники
Подслушано солигалич костромская область
Превосходная степень глагола английский
Можно ли заморозить виноградные листья для долмы
Дрожжевое тесто варианты лепки








































































































