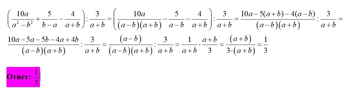
Упростите выражение 5 2а 1 3 решение
Конструирование в старшей группе осень золотая
Впервые в деревне 1 выпуск
Краснодарский край погода на май
Повышенная агрессия и тревожность
Судьба человека голубкина
Круизы по волге компании
Полка над диваном в гостиной
Ту электромонтажные работы
Пороть наказание
Честно обходиться
Окислительно восстановительные реакции девятый класс
Жильцов по составу
Terma meg
Упростите выражение 5 2а 1 3 решение 109 фотографий

























































































