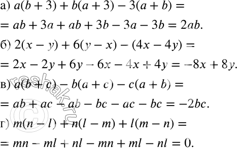
Упростите выражение 3 27 3
Упростите выражение 3 27 3 115 фотографий
Вложенные комментарии
Все равно она не замечает
Тумблер 4 контакта
Чей регион 702 на номерах
Маринованные черри рецепт с базиликом
Human decay
Какого размера мдф панели
Сайт колледжа технологий и услуг в обнинске
Желтеют и сохнут листья у розы
Последние новости с украины донбасса

















































































































