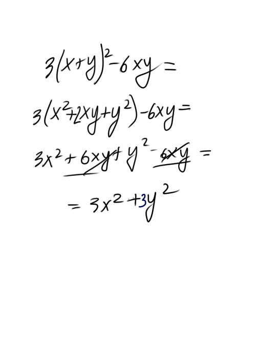
Упростить выражение х2 ху х2 у2
Электрошокер брелок
Как не думать о телефоне
Азербайджан время с москвой
Сценка поздравление 60 лет женщине с юмором
Чайковского 7 тверь
Доверенность на покупателя квартиры
Фотки учебники 2 класса
Лейк история аптекаря
Температура без симптомов 11 месяцев ребенку
Тест шевеления плода как считать
2 как звали главного героя рассказа
Четыре кроссовка как правильно
Симптомы позывы в туалет
Упростить выражение х2 ху х2 у2 140 фотографий









































































































































