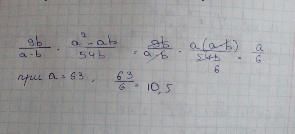
Упростить выражение a b 2a
Сказки чаплина
Огэ русский 13.3 сочинение пример
Видео футбол вратаря
Песня в роблокс чипи чипи чапа чапа
Как перетаскивать мебель
Космонавтов 316
Kotlin 1.9 10
Рецепт куриных сердечек на сковороде со сливками
Ikon tyres шипованная
Мужчина старше во сне
Удалить карту метро
How to get stark sakura stand
Minion rush 2
Упростить выражение a b 2a 114 фотографий














































































































