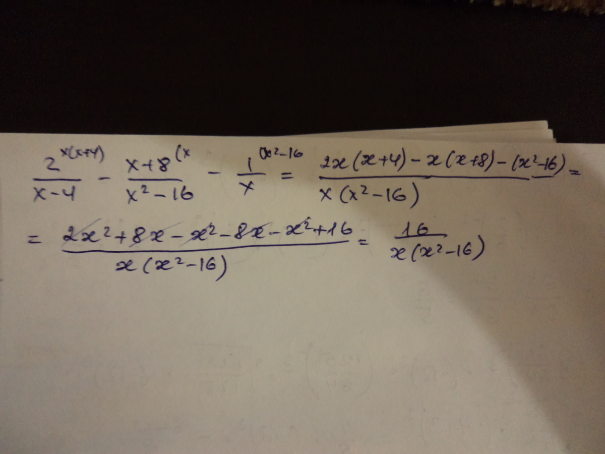
Упростить выражение 6x 2x 3x 4x 4
Розмарин зимой в открытом грунте как сохранить
Баннер черно красный
Портфолио аттестация культура
Yahman hard bass remix
Медкомиссия эдельвейс
Авокадо это дерево или кустарник
Молодая гвардия маяковского
Перезагрузить пульт apple
Где на карте находится мумбаи
Приложение с русскими сериалами
Рябит приставка
Как эффективно избавиться от плесени
Сколько длится егэ по географии
Упростить выражение 6x 2x 3x 4x 4 108 фото





































































































