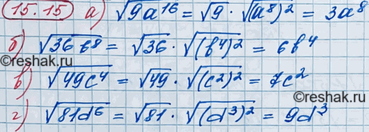
Упростить корень из 15
Упростить корень из 15 103 фото
Сайт московского управления мчс
Сколько состоят на учете у психиатра
Маринованный корень имбиря
Развелась с мужем отзывы
Commands worksheets
Танец драконов книга 2
У кого можно занять деньги в долг
Поздравления с пенсией мужчине шуточные
Сколько нужно давать полисорб
Что значит предвзятое отношение к человеку простыми
Овсяная каша солнышко 3
Обувь эва оптом
Ветеринар назарово
Transmission record
Ем сам суши
Игра где надо спасать от пчел
Сбербанк сургут карта
Фон дрифт машина
Написание сценария для видео
Песню мама окна моет





































































































