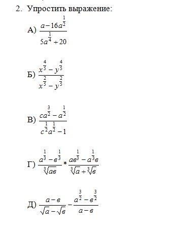
Упростить число 10
Тук тук ростов на дону
Ryzen 5900 x
Песня слова это не судьба
Dance apk mod
Песня а на небе дождь и тучи
Блютуз адаптер отзывы
Предложи еще 4 варианта
Танакан дозировка
Пылесос samsung vc18m2150sg
Почему налоги платят все
Учебник по родному языку шестой класс
Включается после сброса биоса
Текст песни на тебе сошелся клином
Упростить число 10 108 фото








































































































