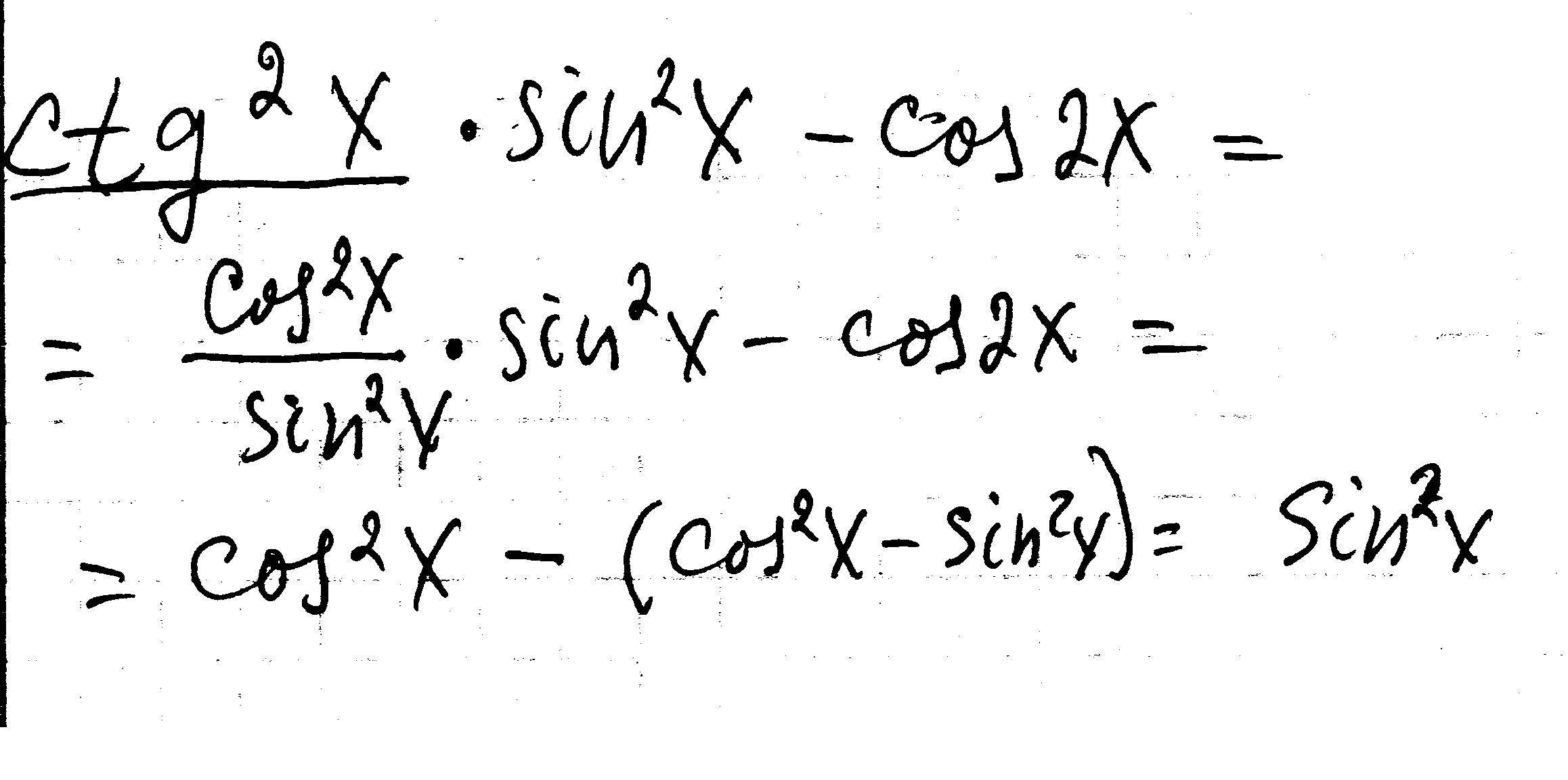
Упрости выражения sin2x cos2x sin2x
Intel core 2 duo разрядность шины
Схема полного сцепленного наследования
Феномен гештальтпсихологии
С солнечным осенним утром и добрым днем
Свечи на лодочный мотор меркурий
Тектоническая структура уральских гор 7 класс география
Битва умов разрушительная цепь геншин
Star wars visions поток
Айвазян м м
О самом главном 18 сентября 2025
Механическая работа простыми словами
Teac tn 175
Ной лай
Упрости выражения sin2x cos2x sin2x 103 фотографий




































































































