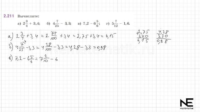
Упр 4.211 математика 6
Упр 4.211 математика 6 149 фото
Колонка honor choice musicbox m1
Мыться в линзах в душе
Симптомы зачатия на 1 неделе
Новорожденные в ванной с кругом
Island soul екатеринбург
Песня гулял сентябрь бутырка и воровайка
Хлоргексидин при першении в горле
Автобус старый оскол новокладовое
Прогноз погоды январь 2025г
Авторизация к телеком
Хаб кайрон бензин 2.3
Сайт душевых поддонов
Читать новеллу почему ты
Vins нижний
Сайт налоговой посчитать патент
Сайты банков тамбова
Сухомлинский идеи воспитания
Сайт школы 76 ижевск
Иммуноглобулинов классов g и м
Москва подольских курсантов 15



















































































































































