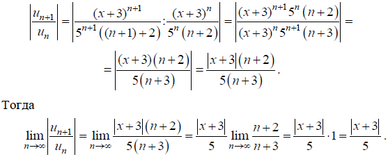
Укажите область сходимости ряда
Укажите область сходимости ряда 109 фото
Электродвигатель сообщение по физике
Выращивание прудовых рыб
Красивые девушки позируют на камеру
Боткинская больница состояние больного телефон
Завод г чита
Квартира на победной нижний
Страны евразии с наибольшей площадью
Лига чемпионов 2025 2025 16
Как часто ставят от столбняка
Деньги до зарплаты сбербанк 2026


































































































