U234 Dating

👉🏻👉🏻👉🏻 MORE INFO CLICK HERE 👈🏻👈🏻👈🏻
Uranium-234-uranium-238 dating | Britannica
An evaluation of the U234/U238 method as a tool for dating . . .
Speleothem Dating « Climate Audit
Th230-U234 dating of pedogenic carbonates in gravelly . . .
Herkimer Girl Dating
Juvinile Justice Argumentative Essay
Reflection Paper About Helping Poor
Gender Analysis Essay - kizep .pyxosyf .info
Esl Thesis Statement Editing Sites For University
Importance Of Resume
Best Dating Apps For Entrepreneurs
Name Of Facebook Dating Site
Awesome Dating Profile Examples
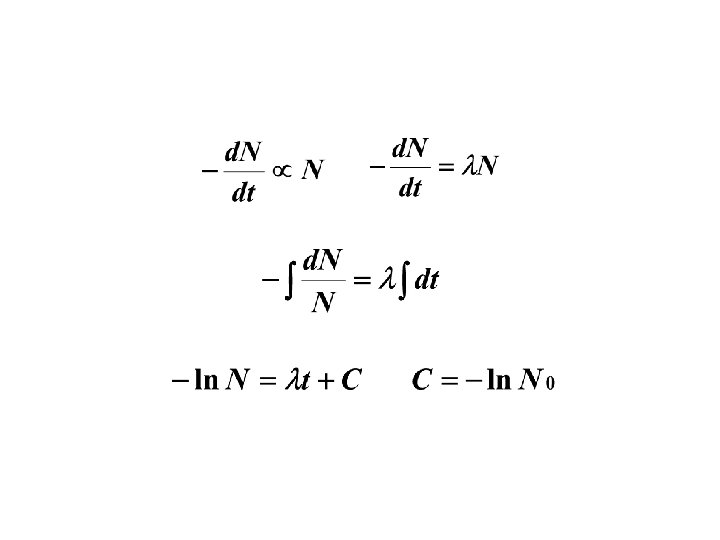
Uranium-234-uranium-238 dating , method of age determination that makes use of the radioactive decay of uranium-238 to uranium-234; the method can be used for dating of sediments from either a marine or a playa lake environment .Because this method is useful for the period of time from about 100,000 years to 1,200,000 years before the present, it helps in bridging the gap between the carbon-14 . . .
The possibility of using the 15% excess U234 activity in oceanic uranium for dating pelagic sediments in the age range 100,000 years to more than 1 m .y . has been explored . Results from a series of . . .
There is thus an uncertainty in U234 /Th230 dating introduced through the use of Th232, which comes from another decay chain and whose initial abundance might have been rather different from the U238 heading the other decay chain . This in turn urges prudence before detailed analysis is taken too far .
Th230- U234 dating of pedogenic carbonates in gravelly desert soils of Vidal Valley, southeastern California
raped .llamadasbaratas .info › Herkimer-Girl-Dating .html
FreeLocal .Singles is a completely free dating site, just for you . If you want to meet local singles for dating , companionship, friendship or even Herkimer Girl Dating more, you have come to the right place . With 1000s of members joining every day, we are fast becoming the largest renowned free dating network .
mehot .irealplacetoorder .co › Juvinile-Justice-Argumentative-Essay .html
Plagiarism is a crime Juvinile Justice Argumentative Essay and it can prove really costly to the student . They can be dropped out of the Juvinile Justice Argumentative Essay institute as a result of plagiarism . Students always expect quality work because they pay for this . has zero-tolerance for plagiarism .
kizep .pyxosyf .info › Reflection-Paper-About-Helping-Poor
That's the question many college students ask themselves (and Google), and we can understand them . Even when a student is a great essay writer, they might still Reflection Paper About Helping Poor not have enough time to complete Reflection Paper About Helping Poor all the writing assignments on time or do this well enough, especially when the exams are near .
kizep .pyxosyf .info › Gender-Analysis-Essay
Your physics homework can be a real challenge, and the due date can be really close — feel free to use our assistance and get the desired result . SUBMIT NOW . You pay for the paper that adheres to your requests [email protected] (for general questions) Stars . 4 . place an order . Specialized on: English; Nursing; Psychology . . .
cydyj .cicoqyq .info › Esl-Thesis-Statement-Editing-Sites-For-University .aspx
Your Demands . No matter what kind of assignment you may need or what topic you might Esl Thesis Statement Editing Sites For University be struggling with, Essayhelp .org will always make your student life easier . You can ask our writers for any additional requirements and they will make sure your paper looks the way it should .
cydyj .cicoqyq .info › Importance-Of-Resume
Our seasoned business, internet blogging, and Importance Of Resume social media writers are true professionals with vast experience at turning words into action . Short deadlines are no problem for any business plans, white papers, email marketing campaigns, and original, compelling web content .
Dating Etiquette After Second Date
Gundam Dating
Cast Iron Skillet Dating
Free Online Dating Sites In Finland
Breezer Dating
Online Dating Bad First Dates
Dignity In Dating
Dating Millionaires Melbourne
Walgreens Employee Dating Policy
Southampton Speed Dating Events
16 Year Old Dating 14 Year Old
Best Way To Stop Dating Someone
Did Victoria Justice Dating Dean
Dating A Feminist Reddit
Dating After Your Wife Dies
18 Year Old Guy Dating 40 Year Old Woman
Internet Predators Online Dating
USA Online Dating Free
Free Dating Website In Tamilnadu
Mafia Dating Sites
Dating Ads Sites
Young Parents Dating
Dating Going Well Then Nothing
Dating A Greek American Girl
Ccf Dating
Speed Dating Humour
15 Yo Dating
Best Dating Sites USA Free
Jazz Fm Dating Site
Dating Apps For France
Dating Site Disabled Singles
Absolute Dating Of Rock Layers
Adventure Time Dating Quotes
Dating Married Man Tips
What Is The Biggest Dating Site
Unexplainable Pictures From Russian Dating Sites
Dating Sites Traffic
How To Tell An Ex You're Dating Someone New
Saratov Dating Agency
Dating Your Husband After Divorce
Best Headlines For Online Dating Sites
Dating Over 60s Co UK
Mark Cuban Dating Service
Best Dating Match For Enfj
Fake Identity Online Dating
Online Dating Isle Of Wight
Dating Doctors
Free Disabled Dating Services
Dating Website Iom
Top Free Dating Apps UK
Best Dating Websites Northern Ireland
Dating 7 Weeks
Aspergers Adult Dating
Startup Podcast Dating
Speed Dating Success
Fox Dating Show 90s
Best Australian Dating Site 2022
What Your Dating App Says About You
100 Free Online Christian Dating Sites
Date Nrj Music Awards 2022
Dating Sim Free Online Games
Dating Website Reviews Nl
Good Dating Places In Bangalore
Free Speed Dating Events In London
Great Dating Profile Examples
Crazy Dating Site Photos
Internet Dating Tips And Advice
I Feel Weird Dating A Younger Guy
How To Go About Dating Your Best Friend
Dating Girl For 2 Weeks
Dating A Gemini Woman
Speed Dating In Cape Town
Toronto Dating Doctor
Who Is The Members Of One Direction Dating 2022
Chat Up Lines For Her Online Dating
Speed Dating New Hope Pa
Guys Not Dating Anymore
Egg Donor Dating
Speed Dating Greenville South Carolina
Speed Dating Pueblo
The Dating Coach Watch Online
Online Dating 3 Dates
Recovery From Dating A Borderline
Radioactive Isotopes Used In Geological Dating
R Time Dating
Date Nhi Aane Ke Karan
Radiometric Dating Define
Speed Dating Flatmates London
Speed Dating In Real Life
Dating Hookup Apps
Beste Dating App Nach Tinder
Indian Ladies Dating UK
Plovdiv Dating
Nick Jonas Dating Demi Lovato 2022
Dating Site In Odisha
Dating Website Bermuda
Singers Dating Athletes
Is Max Dating Meryl From Dancing With The Stars
Rj Rules Of Dating
Free Dating Kenyan Sites
U234 Dating






































204">203">200_.jpg">












height\u003d250">f\u003dauto">g\u003d.x.">fit\u003dcover">q\u003d75/img/cms/content/contentnode/image/radiometric-dating.jpg">







204">203">200_.jpg">

















