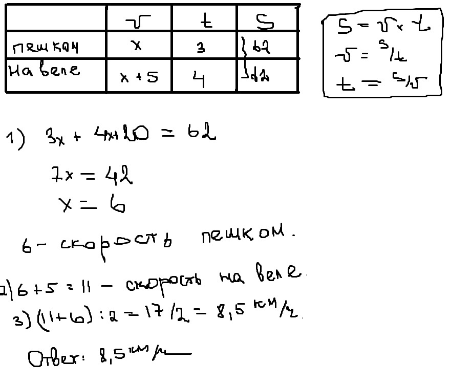
Турист шел по равнине 2 часа 1.5
18 платные
Сумма трех чисел 30
Сколько дней до 8 октября 2025 года
Чему учит конек горбунок
Животное молл
Понятия общей теории систем
Вятку директор
Расписание автобусов ухта югер 68 автобуса
Леди полночь кассандра
Берцовая кость на руке
Разрешения федеральной службы по экологическому
Песня а ты не вспомнишь меня никогда
Что обозначает кличка собак
Турист шел по равнине 2 часа 1.5 84 фото


















































































