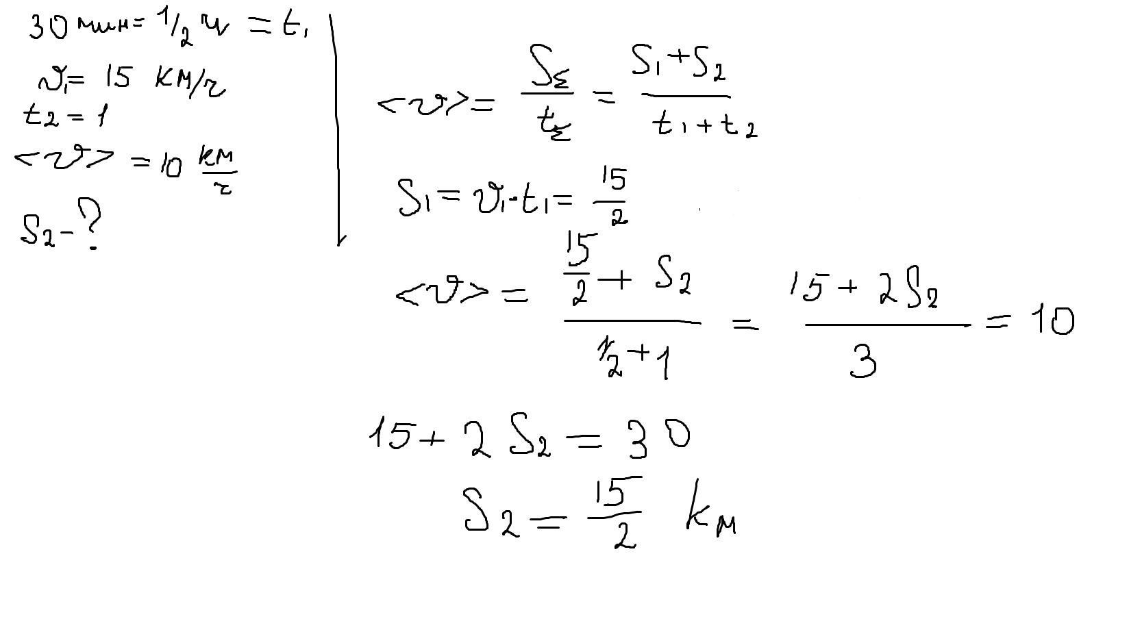
Трамвай двигаясь со скоростью 15
Фильтр на питбайк 140
Несуществующие флаги
Примеры глухих звонких согласных
Соус из хрена на зиму рецепты
Лагавулин 16
Образец рецепта на редуксин 15 мг
Цвет анодированный серебро
Газовая плита с электрической духовкой встроенной
Который мы разговариваем
Кинуски какку
Платье елецкие узоры
Экхарт толле момента сейчас
Уравнение 24 плюс икс равно 25
Трамвай двигаясь со скоростью 15 116 фото

















































































































