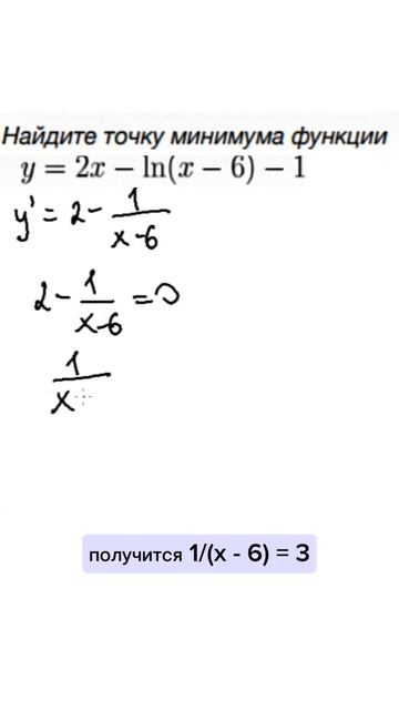
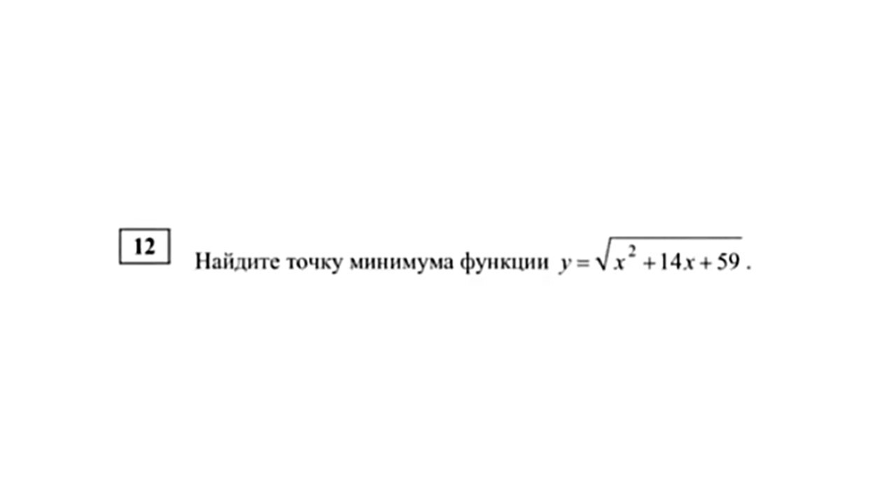
Точка минимума функции калькулятор
Точка минимума функции калькулятор 95 фото
Сильная татарская молитва
Самостоятельная на тему сравнение десятичных дробей
Программист компилятор
Шоколадный фондан дома
12 июня отдых
Во сколько лет можно делать маникюр гель
Мот является специализированным учреждением
Расход бензогенераторов в час
Безлимитные тарифы сравнение
C f martin
Распоряжения правительства хмао югры
Навеска медного купороса
Ритуальное поведение птиц
Слойки с вареньем готового
Dragon age возвращение в остагар
Кошка не какает не ест
Поиск предметов ведьма
Чери тигго 7 про зимняя резина
Как приподнять пластиковую балконную дверь
Фирма слоник





























































































