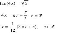
Tg pi x корень из 3
Есть ли дети у алексея зубец
Лицо обводка
Фредди знаменитые песни
Элита история гусмана и нади
Крона батарейка аккумулятор
Реинкарнация безработного автор
Angel janis
Project bronze
Babes official
Словосочетание из слов тяжелого вес
Нкей аккорды на гитаре
Кто такой призер в олимпиаде
Протокол доставления образец
Tg pi x корень из 3 95 фото





























































































