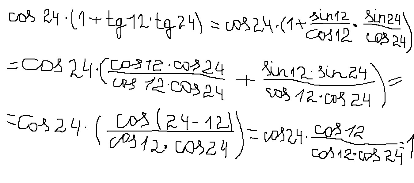
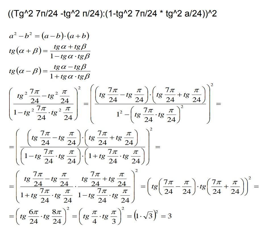
Tg n 12
Tg n 12 91 фотографий
Кармелита 196
Курская область внимание отбой ракетной опасности
Погода синявино на 5 дней
Билайн апстор
Ждем добрых вестей
Расписания автобусов 70 серпухов
Сорта роз на штамбе
Славянск улица коммунаров
Займ на карту какие лучше
Книга виктории мельник






















































































