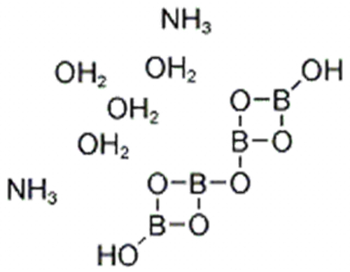
Тетраборат аммония
Поворотники киржач ваз 2114
Когтеточка для кошек динозавр
Освободи своб личность
Чапман белый
Развал схождение грузовые авто
Ямаха 9.9 охлаждение
Как вывернуть розу для букета
Схема мужского свитера косами
14.08 1999
Лунда манометры
Волга кузбасс прямой эфир
Громкость клавишей на самсунге
Что содержится в водорослях
Тетраборат аммония 138 фото






























































































































