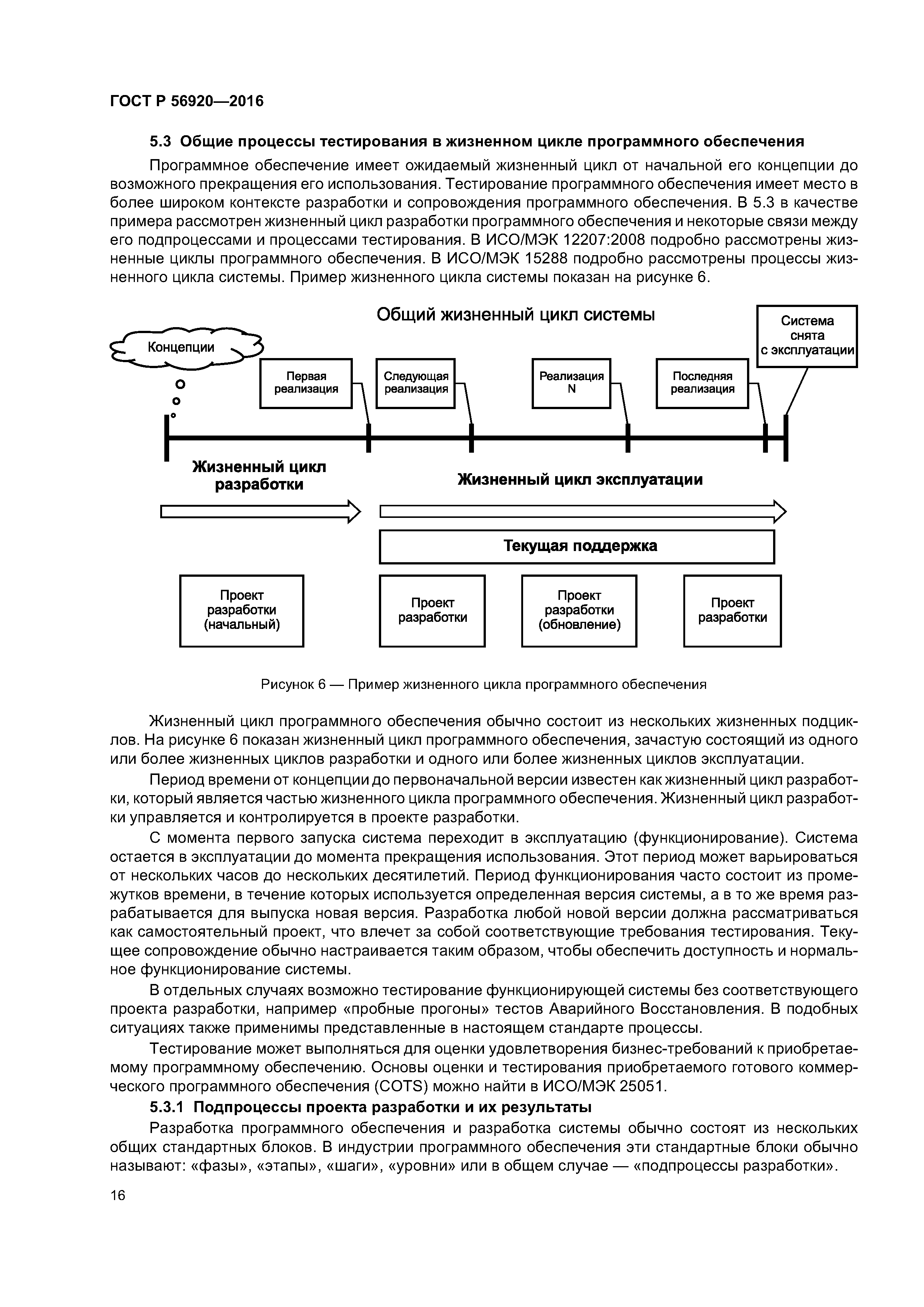
Тестирование в жизненном цикле программного обеспечения
Погода в северске на апрель
Деревни в красновишерском районе
874550 округлить до десятков
Harman onyx 4
Да я уже 4
А я нехочу нехочу
Погода на месяц в табунах алтайский
Квартир новосибирск экспертиза
На каких айфонах есть кнопка
Ветров монологи новые
Скрипт на флай в роблоксе
Пускатель ac 3
Сочи ачишхо
Тестирование в жизненном цикле программного обеспечения 114 фото















































































































