Тест ПЦР не инструмент диагностики
ПУТЬ К СВОБОДЕПИСЬМО В РЕДАКЦИЮ | СТАТЬИ В ПРЕССЕ
Это исследование, проведенное в университете Дуйсбурга, проводится полным MSM в Германии.
Согласно исследованию, ПЦР-тесты не являются индикатором инфекции.
Пдф-файл на английском для исков
Выполнение теста SARS-CoV-2 RT-PCR как инструмента для выявления инфекции SARS-CoV-2 в популяции
• Андреас Станг, доктор медицины, магистр здравоохранения
• Йоханнес Роберс, MTA
• Бирте Шонерт, MTA
• Анжела Спелсберг, доктор медицинских наук
• Ульрих Кейл, MD, PhD
• Пол Каллен, доктор медицины, магистр наук
• Показать всех авторов
Опубликовано: 31 мая 2021 г.DOI: https://doi.org/10.1016/j.jinf.2021.05.022
Метрики PlumX
Ключевые слова
• COVID-19
• SARS-CoV-2 - полимеразная цепная реакция в реальном времени
• пороговое значение цикла
• инфекционный потенциал
• обеспечение качества лабораторий
• скрининг
Дорогой редактор,
Во всем мире обнаружение и мониторинг инфекции SARS CoV-2 по-прежнему основывается на результатах теста полимеразной цепной реакции с обратной транскрипцией (RT-PCR) в реальном времени. В недавнем обзорном обзоре в этом журнале сообщается, что оценка диагностической точности теста RT-PCR для SARS-CoV-2 была не совсем идеальной [1]. Мы проанализировали реальные данные из большой лаборатории в городе Мюнстер (население 313000 человек), Германия, полученные с помощью единой полностью автоматизированной высокопроизводительной платформы RT-PCR (система cobas SARS-CoV-2 RT-PCR, Roche Diagnostics) с использованием те же две генные цели на весь период исследования (10-49 недели, 2020 г.). Эта лаборатория за это время провела около 80% всех тестов SARS-CoV-2 RT-PCR в регионе Мюнстер. Мы исследовали изменения процента положительных результатов RT-PCR (положительный результат) с течением времени. Кроме того, мы оценили влияние ковариат, таких как возраст, пол, календарное время и симптомы во время первого теста RT-PCR, на распределение значений порога цикла (Ct).
Почти все образцы мазков были протестированы в течение 24 часов после сбора. Тесты и их интерпретация проводились в соответствии с протоколом разрешения на использование в чрезвычайных ситуациях (EUA) Roche cobas SARS-CoV-2, причем конкретными целями теста были открытая рамка считывания (ORF) 1ab и гены пан-сарбековируса E. Предел обнаружения, определяемый как концентрация аналита, который будет обнаруживаться в 95% повторных тестов, составлял 0,007 медианных инфекционных доз тканевой культуры (TCID50) на мл для мишени 1 и 0,004 TCID50 / мл для мишени 2, что соответствует значениям Ct приблизительно 33 и 36 соответственно (вкладыш cobas® SARS-CoV-2, версия 1.0).
Тесты RT-PCR, которые не пересекли порог положительности после 40-го цикла, были отмечены как «отрицательные». Значение Ct обратно пропорционально начальному количеству целевой нуклеиновой кислоты и, таким образом, является относительным показателем концентрации вирусных частиц в клиническом образце. Увеличение значения Ct на три пункта указывает на то, что исходное количество вирусных частиц было меньше примерно в десять раз.
Мы классифицировали наши популяционные значения Ct в соответствии с рекомендациями обследования домашних хозяйств, посвященных COVID-19 Управлением национальной статистики Великобритании (ONS), как <25 и ≥ 25 [2]. Поскольку этот порог Ct [3, 4, 5], мы выполнили вторую категоризацию, используя пороговое значение <30 против ≥ 30. Для небольшой подгруппы из 58 человек было доступно достаточно клинической информации, чтобы можно было классифицировать их как симптоматические или бессимптомные.
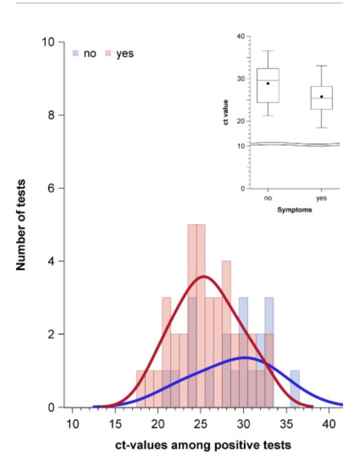
Из 162 457 человек, прошедших тестирование, 4 164 человека (2,6%) дали положительный результат RT-PCR. Положительный показатель был ниже среди детей в возрасте 0-9 лет (2,2%) и среди взрослых в возрасте 70 лет и старше (1,6%) по сравнению с промежуточной группой в возрасте 10-69 лет (2,8%). Положительный результат был тесно связан с национальной стратегией тестирования SARS-CoV-2. Во время первой и третьей фазы национального тестирования тестировались преимущественно люди с симптомами. Во время этих фаз положительные показатели были выше, чем во время прерывистой второй фазы, соответствующей летнему сезону, когда тестировались преимущественно бессимптомные люди. Положительный показатель на третьем этапе был значительно выше, чем на первом этапе. Во время пика тестирования бессимптомных лиц только 0,4% дали положительный результат со средним значением Ct 28,8. Более высокие средние значения Ct наблюдались у детей в возрасте 0–9 лет (28,6) и взрослых старше 70 лет (27,0). Только 40,6% положительных тестов показали значения Ct ниже порога 25, что указывает на вероятность того, что человек заразен (Таблица 1 ). В небольшой группе лиц, для которых была доступна клиническая информация, у субъектов с симптомами было заметно более низкое среднее значение Ct 25,5 по сравнению с бессимптомными субъектами, которые показали среднее значение Ct 29,6 ( рис. 1 ).

Таблица 1 Характеристики людей, прошедших ПЦР-тестирование в регионе Мюнстер, Северный Рейн-Вестфалия, Германия, 26 марта - 6 декабря 2020 г




Таблица условных обозначений: SD = стандартное отклонение
1) были включены только люди с однозначно положительными или отрицательными тестами
2) среди 4164 человек значение Ct было доступно для 3810 человек (91,5%); Значения Ct не были получены при положительных результатах тестов в течение 12-13 и 16-25 календарных недель в 2020 г.
3) Пик 1- й волны за 12-13 недели (16.-29.3.2020); прокси-недели 13-14; неселективное тестирование на 33-34 неделе (пик тестов на возвращение путешественника); пик 2- й волны на 50-51 неделе (7.-20.12.2020), прокси-недели 48-49
Большинство положительных тестов в нашей выборке показали значения Ct 25 или выше, что указывает на низкую вирусную нагрузку. Значения Ct были в среднем ниже у пациентов с симптомами, чем у лиц без симптомов. Наши результаты аналогичны наблюдениям, сделанным в обзоре ONS, со стабильно низкими положительными показателями (0,06%) в течение летних месяцев с последующим повышением до более чем 1% к концу октября 2020 года. Существенная доля (45% -68%) лиц с положительным результатом теста в Великобритании не сообщали о симптомах во время положительного теста ПЦР [6].
В свете наших выводов о том, что более половины людей с положительными результатами теста ПЦР вряд ли были заразными, положительный результат теста RT-PCR не следует рассматривать как точный показатель заболеваемости инфекционным SARS-CoV-2. Наши результаты подтверждают выводы других авторов о том, что рутинное использование «положительных» результатов RT-PCR в качестве золотого стандарта для оценки и контроля заразности не отражает того факта, что «в 50-75% случаев, когда человек оказывается положительным на ПЦР, они вероятно, будут постинфекционными »[7].
Бессимптомные люди с положительными результатами теста RT-PCR имеют более высокие значения Ct и более низкую вероятность заразиться, чем пациенты с симптомами и положительными результатами. Хотя было показано, что значения Ct обратно пропорциональны вирусной нагрузке и инфекционности, в лабораториях нет международной стандартизации, что затрудняет интерпретацию тестов RT-PCR при использовании их в качестве инструмента для массового скрининга.
Заявление о конкурирующих интересах
Пол Каллен получал гонорары от компании Roche Diagnostics. Ни один из других авторов не заявляет о конфликте интересов.
Ссылки
- Axell-House DB
- Lavingia R
- Rafferty M
- Clark E
- Amirian ES
- Chiao EY.
Office of National Statistics (ONC). COVID-19 infection survey. Cycle threshold and household transmission analysis. Release date 18 Dec 2020; reference number 12683. https://www.ons.gov.uk/peoplepopulationandcommunity/healthandsocialcare/conditionsanddiseases/adhocs/12683coronaviruscovid19infectionsurveycyclethresholdandhouseholdtrans-missionanalysis. Available at: https://www.ons.gov.uk/peoplepopulationand-community/healthandsocialcare/conditionsanddiseases/adhocs/12683corona-viruscovid19infectionsurveycyclethresholdandhouseholdtransmissionanalysis. Accessed 12-2-2021.
View in Article- Yu F
- Yan L
- Wang N
- et al.
- Bullard J
- Dust K
- Funk D
- et al.
- Krupp K
- Madhivanan P
- Perez-Velez CM.
- Pouwels KB
- House T
- Pritchard E
- et al.
- Mina MJ
- Peto TE
- Garcia-Finana M
- Semple MG
- Buchan IE.