Таурин Метформин

💣 👉🏻👉🏻👉🏻 ИНФОРМАЦИЯ ДОСТУПНА ЗДЕСЬ! КЛИКАЙ 👈🏻👈🏻👈🏻
PDF ВОЗМОЖНОСТИ ИСПОЛЬЗОВАНИЯ МЕТФОРМИНА, ТАУРИНА И . . .
Таурин для кошек: примеры в каких продуктах содержится и . . .
Дибикор и препарат метформин лечат старение человека
Дибикор и метформин можно принимать вместе
Таурин И Печень - Жирная Hизкоуглеводка
Как принимать метформин для похудения и при диабете 2 типа
БАДы в трихологии . Таурин :: Врачам-специалистам
Метформин — лекарство, позволяющее продлить жизнь | dolgo . . .
Метформин продлевает жизнь людям c диабетом
Метформин за отслабване или отслабване Колко време виждате . . .
Магнезиум Цитрат Побочные Действия
Дозы Метопролола И Бисопролола
Мексикор Уколы Цена 10
www .vestnik .vsu .ru › pdf › chembio › 2021 › 02 › 2021-02-13 .pdf
ных форм, содержащих метформин, ситаглиптин и таурин . Для достижения этой цели были поставлены следующие задачи: • Разработка лекарственных форм с метформином, ситаглиптином и таурином;
Таурин для кошек: примеры в каких продуктах содержится и для чего он Метформин — действие при диабете 2 типа Метформин — широко используемый препарат, который имеет явные преимущества с точки зрения влияния на метаболизм глюкозы и минимизации осложнений, связанных с диабетом .
Дибикор и препарат метформин от старения . Совместное использование Метформина и Дибикора (он же таурин) гораздо эффективнее подавляет старение человека, предупреждая тромбы, болезни сердца, инсульт и инфаркт . Таурин продлевает среднюю и максимальную продолжительность . . .
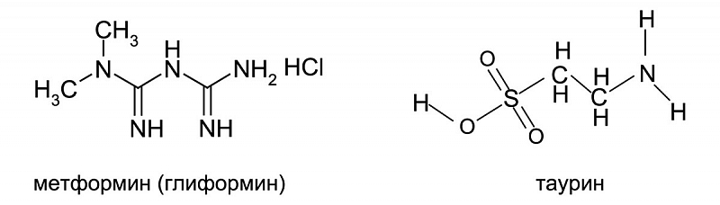
Таурин - это продукт окисления серусодержащих аминокислот . Метформин - производное гуанидина (относится к аминам) . Рисунок 3 . Формулы таурина и метформина . 4 .
galinaleb .com › taurine-in-nafl-disease
Все они получали терапию, включавшую рекомендации по питанию, эссенциальные фосфолипиды, силимарин, метформин, витамины, а пациенты второй группы (n=20) дополнительно принимали таурин по 0,5 г 2 раза в день за 20 мин до еды .
Как принимать метформин при диабете и для похудения по правильной схеме, чтобы избежать поноса и других побочных эффектов .
www .trichology .pro › articles › vracham-spetsialistam › taurin .php
Таурин Таурин — сульфокислота, образующаяся в организме из аминокислоты цистеина . Относится к группе сенситайзеров — веществ, повышающих чувствительность периферических тканей к инсулину . Сенситайзеры - повышают чувствительность периферическихтканей и органов-мишеней к инсулину .
Научно доказано, что препарат Метформин, который назначается людям, страдающим инсулиннезависимым типом сахарного диабета способен замедлить старение и продлить жизнь . Метформин (торговые названия - Глюкофаж, Глюкомин, Сиофор, Метформин) позволяет продлить жизнь за счет нижеперечисленных свойств препарата: 1 . Снижает аппетит .
Метформин продлевает жизнь пациентам с сахарным диабетом и с предиабетом . Если сахарный диабет 2-го типа начался в 40 лет, то он сократит жизнь на 11,6 лет мужчинам и на 14 лет женщинам . То есть оставшийся после постановки диагноза период жизни, измеренный в годах, сокращается примерно в 1,5 раза [ www .ncbi .nlm .nih .gov/pubmed/14532317 ] .
Метформин е лекарство, което помага да се контролират нивата на кръвната захар . Това е производно на бигуанид (група лекарства, които предотвратяват производството на глюкоза от черния дроб), което помага за подобряване на чувствителността към инсулин, което намалява нивата на кръвната захар и риска от диабет тип 2 .
Гель Кеторол Отзывы Врачей
Пантовигар Аптеки Заказать
Этривекс Инструкция По Применению
Есть Ли Уколы Левофлоксацин
Мовалис И Мильгамма Уколы Отзывы
Сколько Стоит Транексам В Таблетках Цена
Фенюльс Цена Энгельс
Терапия Дексаметазоном При Ковид
Препарат Диприван
Гепатрин Или Эссливер Форте Что Лучше
Монурал При Цистите С Кровью
Терафлекс Таблетки Показания
Скин Кап Шампунь Цена Аналоги Дешевые
Трамицент Капли В Нос Цена Отзывы
Фтл Уз С Гидрокортизоном
Пантенол Сразу После Ожога
Димедрол Гидроксид Натрия
Капли Спрей Назонекс Капли
Траумель Уколы Цена Инструкция По Применению Отзывы
Синглон Аналоги И Цены
Кипферон Мазь
Смекта Или Мезим
Метронидазол Гель Для Мужчин
Спирулина Вэл Отзывы Реальные
Алиса Мексидол Цена
Вольтарен Эмульгель Отзывы Врачей
Лак Нафтифин Цена
Раздражение После Утрожестана
Лекарства Эдарби От Чего Помогает
Иван Чай Ашан
Редуксин Отзывы Худеющих
Анальгин Или Цитрамон От Головной
Триазавирин Минздрав
Фортедетрим 4000 Инструкция По Применению Цена
Допегит Ставрополь
Дилакса Отзывы
Фликсотид Аэрозоль Для Ингаляций
Таблетки Лактазар Для Детей
Месакол Или Салофальк
Малыш Гербион
Как Колоть Лидокаин В Палец
Линимент Синтомицина Инструкция По Применению
Мазь Диклофенак Аналоги Недорогие Но Эффективные Взрослым
Заменитель Триган Д
Нутрифайбер Инструкция По Применению Цена Отзывы
Метрогил Дента Снимает Боль
Пиридоксина Гидрохлорид Уколы Инструкция
Тиогамма Как Косметическое Средство
Внутриаптечный Контроль Инъекционных Растворов Эуфиллина
Тримедат Импортный
Клацид Ср При Коронавирусе
Ринза Сколько Таблеток В Упаковке
Пентаксим Беременным
Ренгалин Микстура От Кашля Цена
Перфектил Витамины Форум
Циннаризин Варикоз
Обои Гинкго
Квентиакс Эффект
Аналог Диакарба Таблеток
Ренгалин Цена В Здоров Ру
Найз После
Этацизин 50мг 50 Шт
Раствор Лидокаина Для Ингаляций
Капли Риностоп Мл
Левофлоксацин При Кашле Отзывы
Отрио Инструкция По Применению Цена
Капилар Цена Таблетки Отзывы
Действие Эуфорбиум
Простанорм Стоимость
Пирацетам Уколы Для Чего Цена
5 Таблеток Кеторола
Эсбриет Инструкция По Применению Цена Отзывы
Уролесан При Почечной Колике
Эритромицин 2 Триместр
Иммуноглобулин У Телят
Простатинол Свечи
Капотен Отзывы Пациентов Форум
Пиразидол Эффект
Золофт Сонливость Отзывы
Фуцидин При Ветрянке Отзывы
Флебодиа 600 От Геморроя Отзывы Форум
Стрезам И Парацетамол Совместимость
Сумамед 7 Дней Можно
Ку Ля Кук
Аналоги Цефтриаксона В Таблетках По Действующему Веществу
Циндол Суспензия От Ветрянки
Липримар 60мг
Ципрофлоксацин Солофарм Глазные Капли
Клопидогрел 75 Цена СПб
Меновазин При Ушибах И Растяжениях Можно Применять
Чем Полезен Витрум
Пиносол Ютека
Апории Зенона Кратко И Понятно
Троксерутин Инструкция Аналоги Цена
Трекрезан Таблетки Это Антибиотик Или Нет
Риски Приема Метипреда
Импланон Установка
Мидокалм При Болях Головы
Синупрет Инструкция Сироп Отзывы
Пантенол После Увеличения Губ
Таурин Метформин















































.gif)














.jpg)



























