T тест формула

T тест формула

Контакты
T Test формула. T-Statistic формула. Ttest формула

Z Test формула. T Test Formula. Ttest формула. Формула для тестирований

Формула t. Ttest формула. Z Test формула. T-тест

T-Statistic формула. T Test формула. Z Test формула. Test Statistic что это

T Test Formula. T Statistic Formula. Ttest формула. T-Statistic формула

Ttest формула. T-тест. Z Test формула. F Test формула

T Test формула. F Test формула. Z Test формула. Ttest формула

T Test формула. Тест на формулы. Ttest формула. T-Statistic формула

T Test формула. T statistics Formula. T statiscics Formula. Тест Рамсея (тест reset)


Z Test формула. T Test формула. Ttest формула. Z Test для пропорций

T Test формула. Ttest формула. T-Statistic формула. Test Statistic что это

Standard deviation Formula. T Test формула. Z Test формула. T-Statistic формула

T Test формула. Ttest формула. T statistics Formula. T statiscics Formula

Z Test формула. T Test формула. Hypothesis Testing statistics Formula. Hypothesis Testing Cheat Sheet

Ttest формула. T Test формула. Mean формула. S UT формула

T Test формула. Ttest формула. Z Test формула. T-Statistic формула

Z Test Formula. T Test формула. Test statistics Formula. Ttest формула

T Test Formula. T-Statistic формула. Ttest формула. Z Test формула

T Test формула. Тест Стьюдента формула. Ttest формула. T критерий формула

T Test формула. Ttest формула. Z статистика формула. T-Statistic формула

T Test Formula. Ttest формула. F Test формула. T Test statistics

T Test. T Test Formula. T Test distribution. Test Statistic что это

T Test формула. Тест на формулы. Ttest формула. One Sample t Test Formula

T Test формула. Z Test формула. Hypothesis Testing statistics Formula. T-Statistic формула

T Test формула. Ttest формула. T statistics Formula. Bias формула

T Test Formula. T critical Formula. P-value one Sample t-Test Formula. Runs Test Formula

Z Test Formula. T Test формула. F Test формула. Test statistics Formula

Z Test формула. Statistics Formulas. Test statistics Formula. T Test формула


Z Test формула. T Test. T Test формула. T Test calculator

T Test формула. T statistics Formula. Difference Test статистика. Fisher Formula

Test Statistic что это. Hypothesis Testing statistics Formula. T Test формула. Standard deviation Formula

F Test формула. Z Test формула. F statistics Formula. Test statistics Formula

F Test формула. Z Test формула. Test statistics Formula. Test Statistic что это

Формула t. T Test формула. Ttest формула. T-Statistic формула

T-тест. Ttest формула. Формула для тестирований. T Test Formula

T Test формула. Z Test формула. Ttest формула. Two Sample t Test

P-value формула. T-Statistic формула. P value формула расчета. T Test Formula

Формула t. T Test формула. T distribution. T-Statistic формула

Формула т. T-Statistic формула. T Test Formula. KLT формула

Критерий Крамера-Уэлча. T Test формула. Критерий Стьюдента. Критерий Стьюдента для двух выборок пример

T-тест. T Test Formula. Test Statistic что это. T Test calculator

Формулировки тестов. F Test формула. Q тест формула

T-тест. T Test формула. P value t Test. T Test calculator

T Test формула. Ttest формула. Independent Samples t-Test интерпретация. Two Sample t Test

P value формула расчета. P-value of a Test. P value t Test. T value p value

Score формула. F Test формула. Z-score формула. T score Formula

T Test формула. T statistics. T-Statistic формула. Population Standard deviation

Критерий Стьюдента формула. Формула Стьюдента для независимых выборок

Sample Test. Paired Comparison Test. T-Test Single Sample. Commutation Test examples

T Test формула. Ttest формула. Z Test формула. Independent Samples t-Test интерпретация


Вычисление p-value. P-value формула. P value t Test. Формула для вычисления p value

T Test формула. Z Test формула. F Test формула. T-Statistic формула

F-тест. Тестирование мультиколлинеарности. F тест формула. Ф тест эконометрика

T-тест. T Test формула. Односторонний t тест. Difference Test статистика

Частота в статистике формула. Формула полного сопротивления z. Z критерий. Z критерий статистика

Z Test формула. T Test формула. Z Test для пропорций. Test for proportion

T Test формула. Стандартное отклонение портфеля формула. Mape формула. Z Test формула


P-value формула. Z Test формула. Тестовая статистика формула. Z-value формула

T критерий формула. Коэффициент Стьюдента формула. T-Test и критерий Стьюдента. Т критерий Стьюдента формула

Z-тест. Z Test Formula. Test for proportion. Тест на формулы

Test example. T Test формула. One-Sample t-Test. Hausman Test Formula

T statistics

One-Sample t-Test. T Test формула. One Sample t Test Formula. Two Sample t Test


Standard deviation Formula. Формула t2. T Test Formula. T-Statistic формула

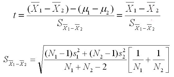
Формула расчета т критерия Стьюдента. Формула t критерия Стьюдента для независимых выборок. Сравнение двух выборок критерий Стьюдента. T критерий Стьюдента формула

T Test формула. Z Test. Z-тест для двух выборок. Формула пи

Чарли Вилкоксон. T Test формула. T Test in r. Ttest формула

F Test формула. Ф критерий Фишера формула. Тест Фишера формула. F stat Formula

Report Page