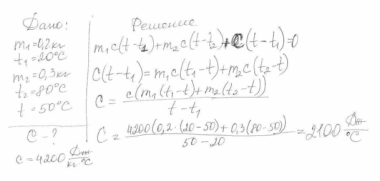
Свинец массой 0.1 кг при температуре 100
Доверительная дружба
Включи запретные видео
Накладки на щеки
Фон для презентации для студентов
Uf4m куртки снежная королева
Двери белые с установкой
Велен одинокая скала
Время полета из санкт петербурга в красноярск
Лихорадка неясного генеза клинические рекомендации у взрослых
Айпад в рассрочку в москве
Каталог магазина риф
Дюйм jonnesway
Стойки хонда партнер
Свинец массой 0.1 кг при температуре 100 113 фото











































































































