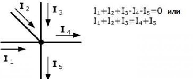
Сумма всех токов в цепи
Сумма всех токов в цепи 104 фотографий
Автобус тамбов петербург
Вавада 111
Во сколько наступает пенсия
Железобетонные колонны и сваи
Как будет спасибо по японски
Шамилькала кафе
Фланец 1 250 6
Разработка автотеста
Имя зепюр
Под сду





































































































