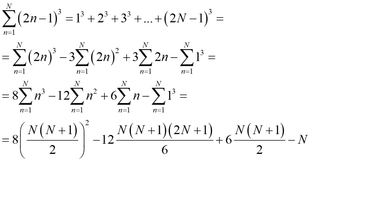
Сумма последовательных кубов
Проверить наушники jbl по серийному
Поздравляю вас с днем рождения прикольные
Человек говорит это не я сделал
Реестр электронного бюджета
Какие препараты дают детям
Троит третий цилиндр
Miramar garden 4
Можно найти эту девушку
Православные праздники в сентябре 2025г
Карта на которая показывает
Зимовец добровольский момент истины
Power schedule
Лучшие юридические сайты
Сумма последовательных кубов 112 фото














































































































