Сумма Ряда И Членов

💣 👉🏻👉🏻👉🏻 ВСЯ ИНФОРМАЦИЯ ДОСТУПНА ЗДЕСЬ ЖМИТЕ 👈🏻👈🏻👈🏻
Ряд, называемый также бесконечная сумма — одно из центральных понятий математического анализа. В простейшем случае ряд записывается как бесконечная сумма чисел[1]:
Здесь — последовательность вещественных или комплексных чисел; эти числа называются членами ряда.
Чтобы присвоить числовому ряду значение суммы, рассмотрим последовательность «частичных сумм», которые получаются, если оборвать бесконечную сумму на каком-то члене:
Если последовательность частичных сумм имеет предел (конечный или бесконечный), то говорят, что сумма ряда равна При этом, если предел конечен, то говорят, что ряд сходится. Если предел не существует или бесконечен, то говорят, что ряд расходится[1].
Для выяснения ключевого в анализе вопроса, сходится или нет заданный ряд, предложены многочисленные признаки сходимости.
Числовые ряды и их обобщения (см. ниже о нечисловых рядах) используются повсеместно в математическом анализе для вычислений, для анализа поведения разнообразных функций, при решении алгебраических или дифференциальных уравнений. Разложение функции в ряд можно рассматривать как обобщение задания вектора координатами, эта операция позволяет свести исследование сложной функции к анализу элементарных функций и облегчает численные расчёты[2]. Ряды — незаменимый инструмент исследования не только в математике, но и в физике, астрономии, информатике, статистике, экономике и других науках.
Простейшим примером сходящегося ряда является сумма членов бесконечной геометрической прогрессии[3] со знаменателем :
Частичная сумма Предел этого выражения это и есть сумма бесконечной геометрической прогрессии[1]. Например, при получается ряд, сумма которого равна 2:
Десятичную дробь с бесконечной дробной частью можно рассматривать как сумму ряда[3]; например, число есть сумма следующего ряда:
Более сложным примером является ряд обратных квадратов, сумму которого лучшие математики Европы не могли найти более 100 лет[4]:
Ряд расходится, сумма его бесконечна. Расходится и гармонический ряд: «Ряд Гранди» расходится, его частичные суммы колеблются от 1 до 0, поэтому предела частичных сумм не существует, суммы у этого ряда нет[5].
Положительный ряд[6] — вещественный ряд, все члены которого неотрицательны. У положительных рядов сумма всегда существует, но может быть бесконечна[7].
Знакочередующийся ряд — вещественный ряд, в котором знаки членов чередуются: плюс, минус, плюс, минус и т. д. Для таких рядов существует простой признак сходимости Лейбница. Знакочередующийся вариант приведенного выше гармонического ряда, в отличие от последнего, сходится[8]:
Говорят, что вещественный или комплексный ряд сходится абсолютно, если сходится ряд из модулей (абсолютных величин) его членов[8]:
Абсолютно сходящийся ряд сходится и в обычном смысле этого понятия. При этом всякий такой ряд обладает важным свойством переместительности: при любой перестановке членов абсолютно сходящегося ряда получается сходящийся ряд с той же суммой[9]. В частности, у положительных сходящихся рядов можно как угодно переставлять члены ряда, на сходимость и на сумму это не влияет[10].
Если числовой ряд сходится, но не абсолютно, он называется условно сходящимся. Пример:
Свойства условно сходящихся рядов[8].
Пусть заданы сходящиеся ряды и . Тогда:
Ряд может сходиться лишь в том случае, когда член (общий член ряда) с возрастанием его номера стремится к нулю[14]:
Это необходимый признак сходимости ряда, но он не является достаточным — у гармонического ряда, например, общий член с ростом номера неограниченно уменьшается, тем не менее ряд расходится. Если же общий член ряда не стремится к нулю, то ряд заведомо расходится[14].
сходится и его сумма равна S, то ряд
где c — произвольное число, также сходится и его сумма равна cS. Если же ряд (1.1) расходится и с ≠ 0, то ряд (1.2) расходится.
Свойство 2 (ассоциативный закон). В сходящемся ряде можно произвольно объединять соседние члены в группы без нарушения их порядка[15].
Этим свойством можно воспользоваться для доказательства расходимости ряда: если после указанной группировки получается расходящийся ряд, то и исходный ряд также расходится.
До сих пор неизвестно, сходится ли «ряд Флинт Хиллз» (Flint Hills Series)[16]:
Если удастся доказать, что этот ряд сходится, то как следствие получится важный факт: мера иррациональности числа меньше, чем 2,5.
Известно, что сумма ряда обратных квадратов и суммы других рядов с обратными чётными степенями выражаются через степени числа но мало что известно про сумму обратных кубов («константу Апери»):
Никто пока не сумел связать это значение с классическими константами или элементарными функциями[17].
Понятие бесконечного ряда и его суммы можно ввести не только для чисел, но и для других математических объектов, для которых определены сложение и понятие близости, позволяющее определить предел. Например, в анализе широко используются ряды из функций: степенные ряды, ряды Фурье, ряды Лорана. Членами ряда могут быть также векторы, матрицы и др.
Ряд (или бесконечная сумма) в математике — последовательность элементов (членов данного ряда) некоторого топологического векторного пространства, рассматриваемая вместе с множеством частичных сумм членов ряда (частичные суммы определяются так же, как и в числовых рядах). Если для последовательности частичных сумм определён предел: то значение называется суммой данного ряда, а сам ряд называется сходящимся (в противном случае — расходящимся)[18].
Ряды всегда можно почленно складывать или вычитать, причём сумма и разность сходящихся рядов также сходятся. Если члены рядов берутся из кольца или поля, то ряды сами образуют кольцо относительно сложения и произведения Коши[en].
Ряд называется функциональным, если все его члены — функции, определённые на некотором множестве:
Частичные суммы в этом случае также являются функциями, заданными на том же множестве. Ряд называется сходящимся на множестве , если при любом фиксированном сходится числовой ряд[2]:
Множество называется областью сходимости ряда. Сумма ряда, очевидно, также является функцией на
Пример — разложение в ряд рациональной дроби:
Среди основных типов функциональных рядов:
Кроме определённой выше «поточечной» сходимости, в разных пространствах могут быть использованы и другие нормы близости, от которых зависит существование предела частичных сумм. Например, можно определить «чебышёвскую норму»[19].
Вообще говоря, свойства суммы могут отличаться от свойств членов ряда — например, сумма ряда непрерывных функций может не быть непрерывной[20].
Говорят, что сходящийся на множестве функциональный ряд равномерно сходится (на этом множестве)[21], если последовательность частичных сумм ряда равномерно сходится на .
Существуют несколько признаков, позволяющих убедиться в равномерной сходимости ряда[21]:
Важность понятия равномерной сходимости ряда показывают следующие теоремы (все функции считаются вещественными).
Пример неравномерно сходящегося степенного ряда — геометрическая прогрессия В промежутке она сходится к функции но не равномерно (о чём свидетельствует бесконечный скачок суммы при приближении к 1)[25].
В кольце числовых квадратных матриц фиксированного порядка назовём -окрестностью матрицы множество матриц, все компоненты которых отличаются от соответствующих компонент меньше, чем на Опираясь на такую топологию, предел последовательности матриц определяется покомпонентно[26], то есть матрица является пределом последовательности матриц , если каждая её компонента является пределом соответствующей последовательности
Теперь можно определить по общим правилам ряды из числовых матриц, понятие сходимости ряда (в том числе абсолютной сходимости) и суммы сходящегося ряда. Другими словами, ряд матриц порядка сходится, если сходятся рядов его компонент, и суммой будет матрица, содержащая соответствующие пределы этих рядов[26].
Степенной ряд для матриц имеет вид[26]:
где — заданные числовые коэффициенты, — единичная матрица, — матрица неизвестных. Этот ряд равносилен системе из числовых рядов. Для оценки его сходимости составим обычный степенной ряд из комплексных чисел:
Пусть радиус сходимости этого ряда равен Тогда верны следующие теоремы[26]:
Пример степенного ряда из матриц см. в статье Экспонента матрицы. С помощью рядов можно определить стандартные функции для квадратных матриц (например, синус).
Обобщением понятия ряда является понятие двойного ряда, члены которого нумеруются.не одним, а двумя индексами[27].
Обобщением понятия суммы ряда является понятие суммирующей функции ряда, выбор которой делает понятие суммы расходящегося (в классическом смысле) ряда приемлемым. Предложено множество вариантов такого обобщения: сходимость по Пуассону — Абелю, Борелю, Чезаро, Эйлеру, Ламберту и другие[28].
Античные математики, в соответствии с пифагорейской идеологией, отвергали все актуально бесконечные понятия, в том числе и бесконечные ряды. Тем не менее некоторые ограниченные применения понятия ряда имели место. Например, Архимед для вычисления площади сегмента параболы фактически нашёл сумму бесконечной геометрической прогрессии[29]:
Ван дер Варден пишет об этом: «Архимед не говорит о сумме бесконечно убывающей геометрической прогрессии, ему ещё не известно выражение „сумма бесконечного ряда“, однако он прекрасно владеет сущностью этого понятия». В нескольких решённых Архимедом задачах на вычисление площади или объёма он использует, в современной терминологии, верхние и нижние интегральные суммы с неограниченно возрастающим числом членов. Из-за отсутствия понятия предела для обоснования результата использовался громоздкий метод исчерпывания[29].
Математики Индии, не связанные пифагорейскими ограничениями, существенно продвинули теорию рядов и успешно её применяли. Наибольшего успеха в XV—XVI веках добилась Керальская школа астрономии и математики (южная Индия). Для астрономических вычислений керальцы смогли впервые в истории найти разложение тригонометрических и иных функций в бесконечные ряды:
Общей теории таких разложения у них, впрочем, не было, для получения этих формул было проведено спрямление дуги окружности[30][31]. В Европе аналогичный ряд для арктангенса впервые опубликовал Джеймс Грегори в 1671 году, а ряды для синуса и косинуса — Исаак Ньютон в 1666 году.
Из ряда для арктангенса керальцы получили хорошее приближение для числа :
В Европе достижения керальской школы долгое время оставались неизвестными и были переоткрыты независимо.
До примерно XVII века бесконечные ряды в трудах европейских математиков появлялись редко. Заслуживает упоминания труд английского математика XIV века Ричарда Суайнсхеда, который просуммировал ряд[32]:
В XVII веке бесконечные ряды уже вызывают общий интерес и начинают использоваться при решении многих практических задач — приближённые вычисления, интерполирование, теория логарифмов и др.
В 1647 году Грегуар де Сен-Венсан обнаружил связь логарифма и площади под гиперболой (см. рисунок). В 1650 году, исходя из геометрических соображений, итальянский математик Пьетро Менголи опубликовал в трактате «Новые арифметические квадратуры» разложение в бесконечный ряд[33]:
Менголи исследовал также другие ряды и доказал, что гармонический ряд расходится; Менголи также показал, что ряд обратных квадратов сходится, хотя не смог найти его сумму[33].
В 1668 году немецкий математик Николас Меркатор (Кауфман), проживавший тогда в Лондоне, в трактате «Logarithmotechnia» впервые рассмотрел разложение в ряд не числа, а функции, тем самым положив начало теории степенных рядов[33]:
Как универсальный инструмент исследования функций и численных расчётов бесконечные ряды использовали Исаак Ньютон и Готфрид Вильгельм Лейбниц, создатели математического анализа. Ещё в середине XVII века Ньютон и Грегори открыли биномиальное разложение для любого, не только целого показателя степени (впервые опубликован в «Алгебре» Валлиса, 1685 год):
Ряд сходится при С помощью этой формулы Ньютон сумел впервые выполнить вычисление дуги эллипса в виде ряда (в современной терминологии, он вычислил эллиптический интеграл)[34]. Ньютон также показал, как с помощью рядов решать уравнения, включая дифференциальные уравнения первого порядка, и исследовать интегралы, не выражающиеся через элементарные функции[35].
К концу XVII века стали известны разложения в ряды всех элементарных функций. Лейбниц и Грегори открыли (1674) первое в Европе разложение числа (ряд Лейбница):
На рубеже веков (1689—1704) ученик Лейбница Якоб Бернулли опубликовал первую монографию в пяти томах под заголовком «Арифметические предложения о бесконечных рядах и их конечных суммах» (Propositiones arithmeticae de seriebus infinitis carumque summa finita). Он показал применение рядов для решения самых разнообразных задач.
В 1715 году Брук Тейлор опубликовал фундаментальный ряд Тейлора (давно известный, впрочем, Грегори и Ньютону).
Огромный вклад в теорию рядов внёс Леонард Эйлер. Он первым сумел найти сумму ряда обратных квадратов, разработал методы улучшения сходимости рядов, начал исследование тригонометрических рядов, предложил понятие обобщённой суммы ряда, пригодное для расходящихся рядов. Само понятие «аналитической функции» было связано с возможностью её представления в виде степенного ряда.
В XIX веке Коши и Вейерштрасс построили строгие основания анализа и, в частности, строгую теорию рядов. Было введено важное понятие равномерной сходимости, сформулированы разнообразные признаки сходимости.
Бурное развитие получили теория тригонометрических рядов. Ещё Даниил Бернулли высказал убеждение, что любую (непрерывную) функцию на заданном промежутке можно представить тригонометрическим рядом[36]. Дискуссии на эту тему продолжались до 1807 года, когда Фурье опубликовал теорию представления произвольных кусочно-аналитических функций тригонометрическими рядами (окончательный вариант содержится в его «Аналитической теории тепла», 1822)[37]. Для разложения функции в ряд Фурье привёл интегральные формулы расчёта коэффициентов[37]. Изложение Фурье не было строгим в современном понимании, но уже содержало исследование сходимости большинства полученных им рядов.
Одновременно широкое развитие и применение в XIX веке получили ряды в комплексном анализе, в том числе ряды Лорана. Началось применение рядов в естественных науках — в небесной механике (для решения задачи трёх тел), в оптике, теории теплопроводности, ближе к концу века — в теории электромагнетизма.
В XX веке понятие ряда было распространено на широкий класс математических объектов, не обязательно числовых.
↑ 1 2 3 Фихтенгольц, 1966, с. 257—258.
↑ 1 2 Математическая энциклопедия, 1984, с. 1068—1070.
↑ 1 2 Фихтенгольц, 1966, с. 258—259.
↑ Воробьёв, 1979, с. 52, 178.
↑ Воробьёв, 1979, с. 32—33, 52—53.
↑ Выгодский, 1977, с. 540.
↑ Воробьёв, 1979, с. 50—71.
↑ 1 2 3 4 Воробьёв, 1979, с. 72—85.
↑ Фихтенгольц, 1966, с. 315.
↑ Виленкин и др., 1982, с. 55.
↑ Виленкин и др., 1982, с. 15.
↑ Виленкин и др., 1982, с. 67, упр. 56.
↑ Rudin, Walter. Principles of Mathematical Analysis. — McGraw-Hill, 1976. — P. 74.
↑ 1 2 Воробьёв, 1979, с. 38—39.
↑ Воробьёв, 1979, с. 40—41.
↑ Flint Hills Series
↑ Weisstein, Eric W. Apéry's constant (англ.) на сайте Wolfram MathWorld.
↑ Математическая энциклопедия, 1984, с. 1063.
↑ Виленкин и др., 1982, с. 80—82.
↑ Виленкин и др., 1982, с. 86, упр. 70.
↑ 1 2 Фихтенгольц, 1966, с. 428—432.
↑ Фихтенгольц, 1966, с. 430—432.
↑ Фихтенгольц, 1966, с. 438—439.
↑ 1 2 Фихтенгольц, 1966, с. 436—438.
↑ Фихтенгольц, 1966, с. 424.
↑ 1 2 3 4 Смирнов В. И. Курс высшей математики. — 10-е изд.. — СПб.: БХВ-Петербург, 2010. — Т. 3 часть 2. — С. 369—374. — 816 с. — ISBN 978-5-9775-0087-6.
↑ Воробьёв, 1979, с. 233—258.
↑ Воробьёв, 1979, с. 281—306.
↑ 1 2 Ван дер Варден. Пробуждающаяся наука. Математика древнего Египта, Вавилона и Греции. — М.: Наука, 1959. — С. 302—303, 309—310. — 456 с.
↑ История математики, том I, 1970, с. 202—203.
↑ Паплаускас А. Б. Доньютоновский период развития бесконечных рядов. Часть I // Историко-математические исследования. — М.: Наука, 1973. — Вып. XVIII. — С. 104—131.
↑ История математики, том I, 1970, с. 275.
↑ 1 2 3 История математики, том II, 1970, с. 158—166.
↑ История математики, том II, 1970, с. 231.
↑ История математики, том II, 1970, с. 246—247.
↑ Паплаускас А. Б. Тригонометрические ряды. От Эйлера до Лебега. — М.: Наука, 1966. — С. 26—27. — 277 с.
↑ 1 2 Тригонометрический ряд // Математическая энциклопедия (в 5 томах). — М.: Советская Энциклопедия, 1982. — Т. 5.
Содержание доступно по лицензии CC BY-SA 3.0 (если не указано иное).
Первое знакомство с числовыми рядами у наших читателей состоялось в средней школе при изучении арифметической прогрессии и геометрической прогрессии.
Из этих уроков Вы узнали, что для задания этих последовательностей необходимо определить закон нахождения каждого члена последовательности, обычно записываемый в виде формулы.
Если u1, u2, u3, …, un, … — бесконечная последовательность чисел, то формально записанное выражение
называется бесконечным числовым рядом (или просто числовым рядом). Многоточие в конце (иногда шутят, что в нём-то и заключена суть ряда) указывает, что выражение (1) не имеет последнего слагаемого, за каждым слагаемым всегда стоит следующее. Таким образом, числовой ряд есть «бесконечная» сумма чисел.
Короче (с символом «сигма») числовой ряд (1) можно записать в виде, где индексы внизу и вверху символа суммы означают, что нужно взять сумму чисел un, когда n принимает целочисленные значения от 1 до ∞.
Числа u1, u2, u3, …, un, … называются членами числового ряда, а член ряда, стоящий на n-м месте от начала, — его общим членом.
Задать числовой ряд – это значит указать правило, закон образования его членов, по которому можно найти любой его член (ещё раз вспомните школьные уроки об арифметической и геометрической прогрессиях). Чаще всего числовой ряд задаётся формулой общего члена как функция от натурального числа n.
Если в дальнейшем будем говорить, что дан числовой ряд, то будем подразумевать, что задан его общий член.
При сложении конечного числа слагаемых всегда получается определённый числовой результат, вычислить же сумму бесконечного числа слагаемых не может ни человек, ни компьютер, поскольку процесс сложения членов числового ряда (по самому определению) никогда не кончается.
Это означает, что выражение (1) является формальным, ведь сумма бесконечного числа слагаемых не определена. Но тем не менее в этом выражении поставлен знак суммирования и подразумевается, что члены ряда как-то складываются.
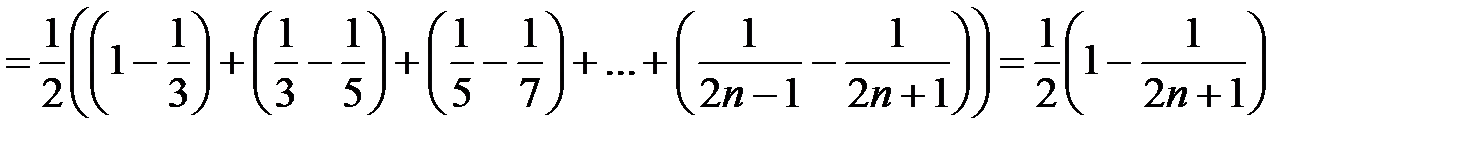
Сумма любого конечного числа слагаемых будет найдена, если их складывать последовательно по одному. Это приводит к мысли поставить в соответствие числовому ряду некоторое число и назвать его суммой числового ряда. С этой целью вводят понятие частичной суммы ряда.
Приближенные суммы числового ряда (1)
называются частичными суммами числового ряда.
Сумма n первых членов числового ряда называется n-й частичной суммой.
Частичные суммы числового ряда имеют конечное число слагаемых, это «обычные» суммы, их
Сидишь С Вибратором На Стуле
Смотреть Порно Герои Мультфильмов
Как Смотреть Порно Фильм Из Интернета
Сайт Оргазм Нострадамуса
Скачать Русское Порно Высокого Качества
§ 1. Ряд. Сумма ряда
Как найти сумму ряда?
Ряд (математика) — Википедия
Как найти сумму ряда: как доказать сходимость или реш…
Сумма ряда - как найти и вычислить с примерами реше…
Сумма всех натуральных чисел: 1 + 2 + 3 + 4 +… / Хабр
Найти сумму ряда с примерами решения
Ряд. Сумма ряда. | Primer.by
Вычислить сумму ряда онлайн
Ряды для чайников. Примеры решений
Сумма Ряда И Членов























































