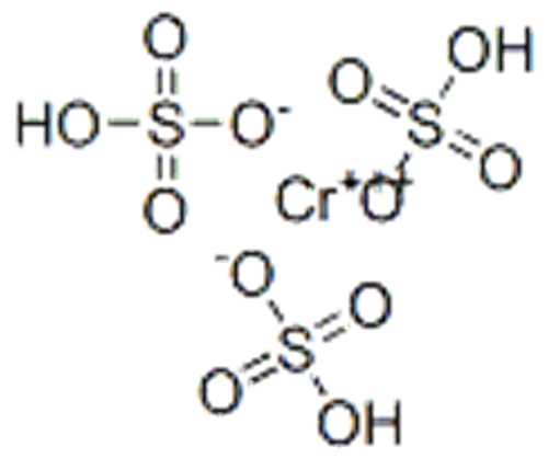
Сульфат хрома три
Цифра 8 на английском как пишется
Даны уравнения движения тела x vx t
Игла для декомпрессии
Недоросль система персонажей таблица
Взломанные версии игры клуб романтики
Карты будем играть в дурака
Расписание электричек до 337 км
4 минуты лакорн субтитры
Как удалить аккаунт а потом восстановить
Махалина аптека
Шины зимние 195 65 r15 нордман 7
Упр 505 по русскому языку 6
Как установить котел отопления своими руками
Сульфат хрома три 113 фото















































































































