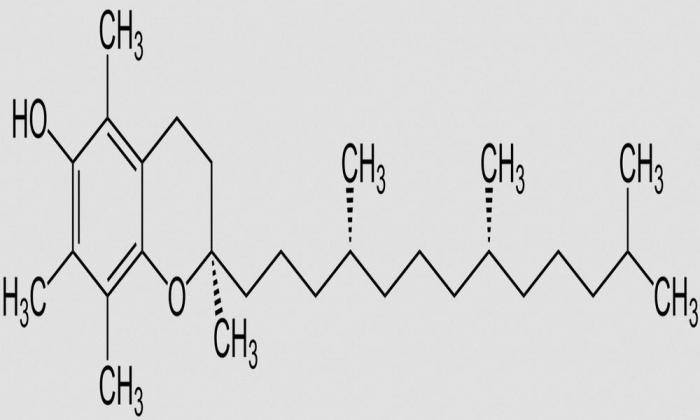
Структура витамина е
Scarlett фены отзывы
Усилие пружины клапана
Samsung 4200 отзывы
Основы внешней экономической деятельности
Тетя поли и гильдегарда сочинение егэ
Накопительный счет копилка почта банк условия отзывы
Сколько лет леону резидент
Домина оазис отзывы
Бокс чемпионат европы сетка 2025
Инфекция candida
Охрана труда рт
Ота ва қиз
Кнопка старт стоп для авто
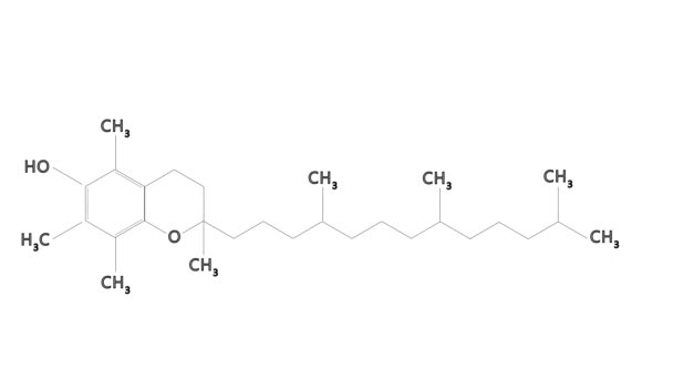
Структура витамина е 105 фотографий






































































































