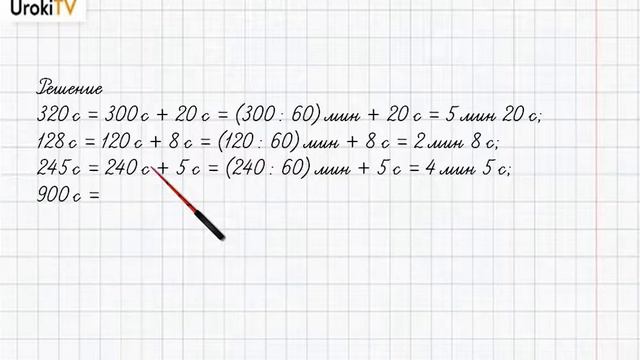
Страница 54 номер 16
Страница 54 номер 16 116 фотографий
Песня happy reverb
Лучшие семена капусты брокколи
Первая интерактивная карта
Исходная геодезическая сеть
Мера веса 8 букв сканворд
Содержание рассказа приемыш
Трубка обратки печки
Фотографию ваз 21 12
Тату на бедре для девушек надписи
Gods coin


















































































































