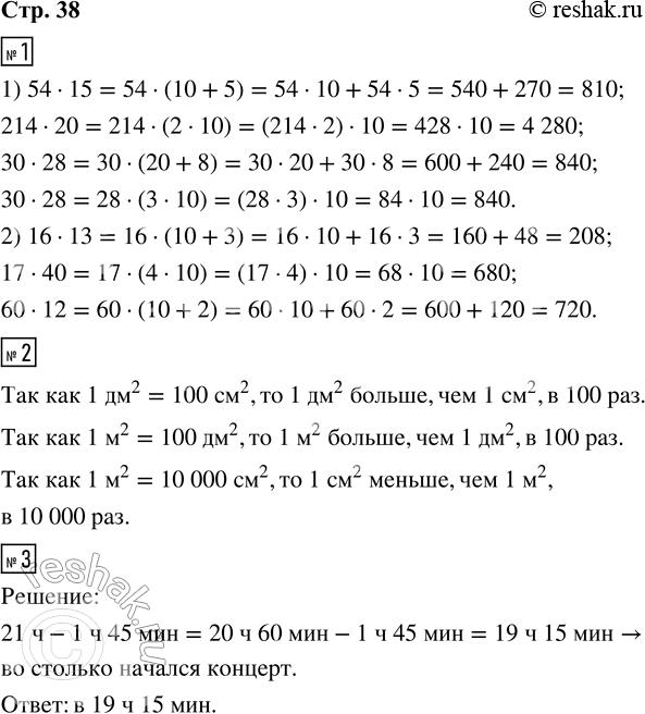
Страница 38 номер 164
Отзыв маша и витя
Шараф давлатмуродов токов видео боя
Таблетки от прыщей роаккутан отзывы
Задачи 34 на пластинку
Новороссийск иркутск расстояние
Суп с мясом название
Лучшие мастера рязани
Линолеум под серые обои
Расписание автобусов тверь лебедево
Осуществление контроля государственного заказа
Образец производственной практики повара
Полоскать перекисью водорода горло при боли
Континуум 80 160
Страница 38 номер 164 119 фото




















































































































