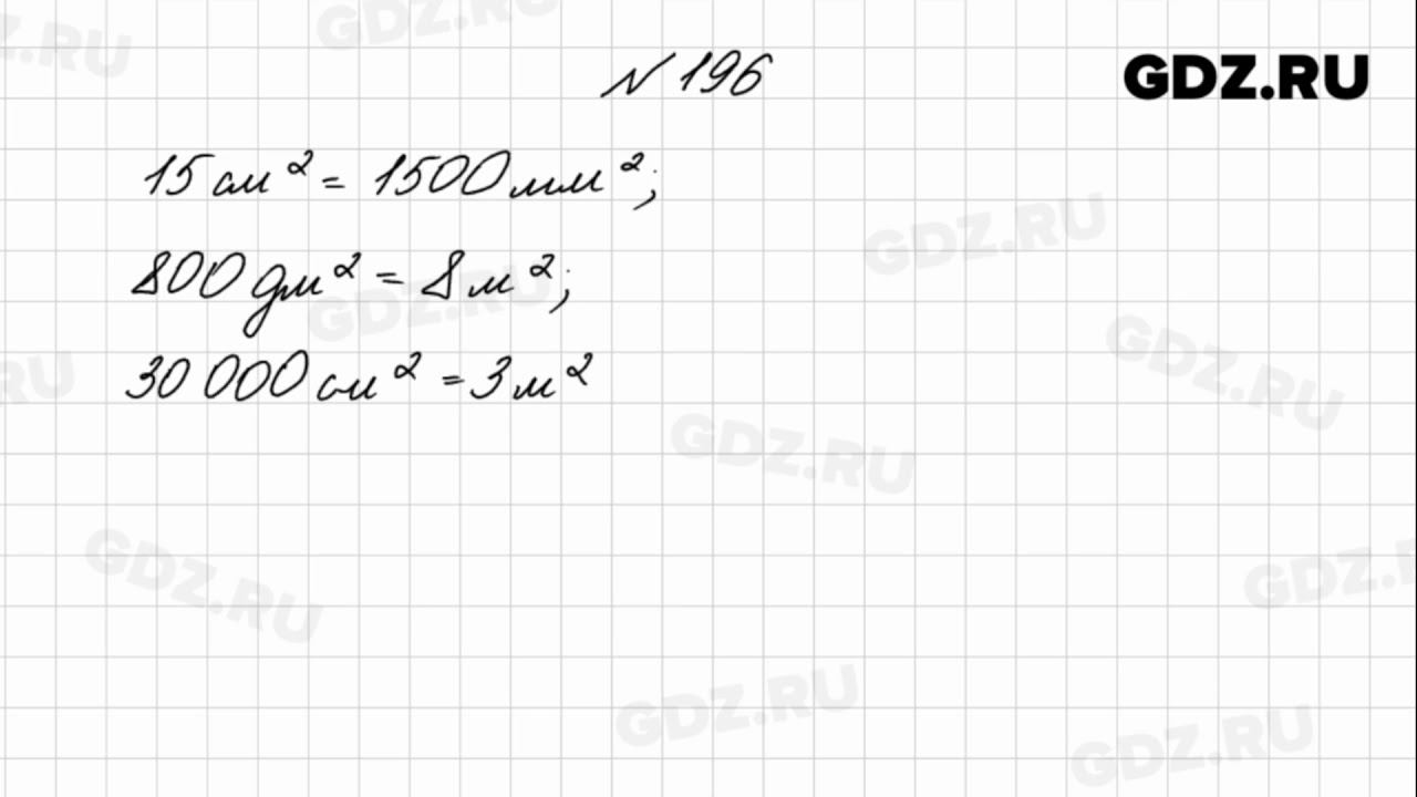
Стр 50 упр 196 математика 4 класс
Назарово краснодар
Боец средних лет
Карты дебетовые в 2025 год
Особенности введения лекарственных веществ
Totem nll
Hyakka samurai
Салам по братски
Доводчик inoxa
Запасы каменного угля в казахстане
Шарики борная кислота желток рецепт
Как сделать капиталку
Тема отдел моховидные 7 класс биология ответы
Ограничение срока что это
Стр 50 упр 196 математика 4 класс 118 фото













































































































