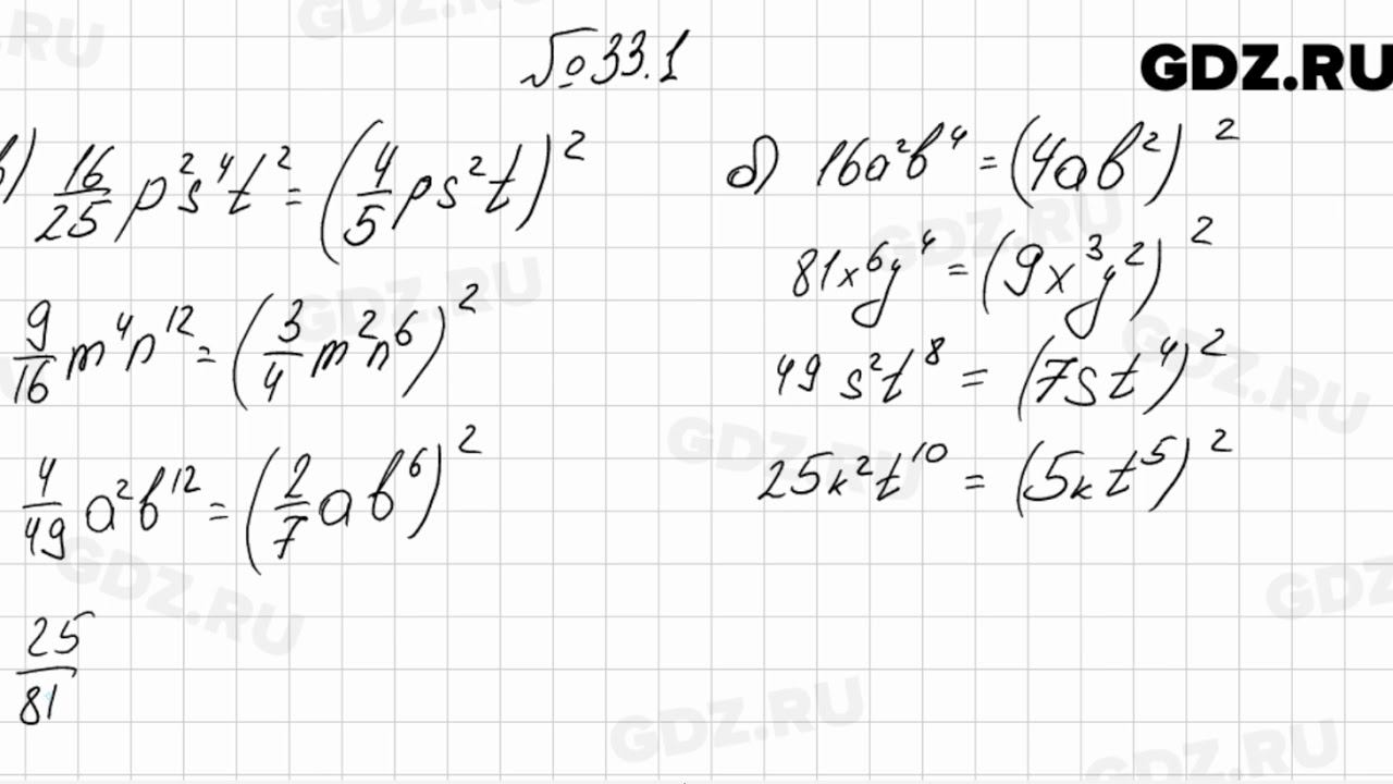
Стр 33 упр 131 алгебра 7 класс
Теплый пол с керамзитом
Ростехэнерго батайск
Тысячелетие нижнего новгорода
История 6 класс параграф 2 схема
Молочницам у женщин препараты отзывы
Кабель для 240 гц
Musicbrainz picard
Расписание автобуса африканда полярные
Эндже сиагатова
Итана дровяная ул 49 фото
Сажаем лук репку весной
Onyx imperator white
Видео бывшего петуха
Стр 33 упр 131 алгебра 7 класс 119 фото


















































































































