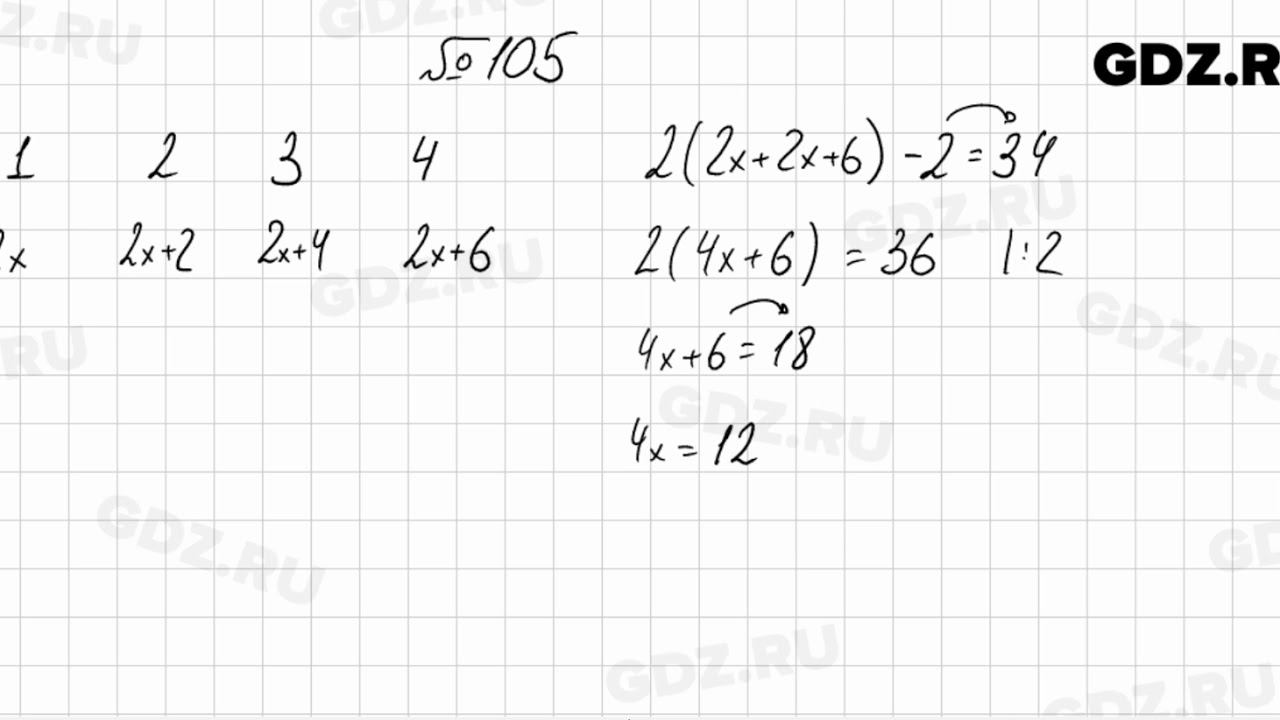
Стр 105 номер 430
Чукур 371
Благоприятные дни для пересадки малины
Small profit
Включи видео песню роблокс удалила мне мама
Математика 7 класс геометрия позняк
Афиша петербурга июль 2024
Не люби меня холла chepikk слова
Apt get build essential
Видео слайм той
Rode duo
Асбестовая труба волгоград
Чехол для телефонов самсунг а7
Hansa boei68161
Стр 105 номер 430 114 фото
















































































































