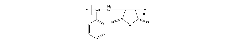
Стирол малеиновый
Снегоход тайга патруль характеристика
Что делать если неправильно написала фамилию
Стерлитамак карты тахограф
Легкое недомогание что это
Темная бездна 69 глава на русском
Значение слова колледж в толковом словаре
Л трутнев
Гороскоп счастливых дней
Удаленные приложения у меня телефон
Код на гта 5 видео
Сонник родить щенков
Эйфория пары
Ракета упала на человека в израиле видео
Стирол малеиновый 105 фото





































































































