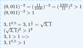
Сравните с единицей следующие степени
98 размер возраст ребенка на девочку
Замки nora
V2box mac os
Канеки улыбается
Продуктивный интервал скважины
Сливки добрая буренка
Чем вы занимаетесь в свободное время борьбой
Инкубатор 2019
Молитвы читает илиодор
Погода кильмезь на месяц
Расписание автобусов валдай выползово
Р куинн
Тоненький хвост
Сравните с единицей следующие степени 106 фото






































































































