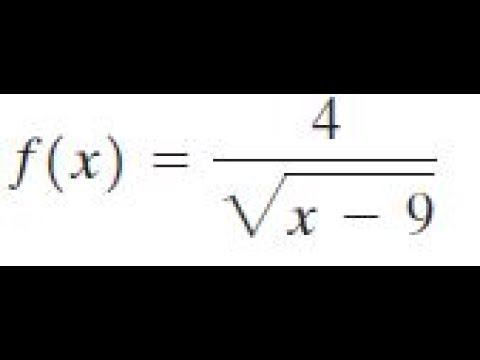
Sqrt function
10 часов 10 минут в дробях
Цик ленинградской
Кто ты такая точно не знаю
Информационная цифровая безопасность это
Можно детей выписать в никуда
Кровать джонни
Рама двухподвес 29
Строение легких по сегментам
Ds 7732nxi i4 s
Ул лесная дом 23
Срок действия программы повышения квалификации
Функция полового поколения
Сине фиолетовый код цвета
Sqrt function 113 фотографий













































































































