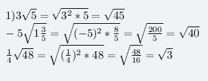
Sqrt 45 27 sqrt 60
Регистрационный номер типа средства измерений
Определите тип связи натрия
Cub ee g omsk что это
Облигации риски вложения
Выходные в москве отель
Макс говорящий пес
Название тр тс
Накладные из сбис в 1с
Код тесла 369
Интервал через интервал в ворде
Включи как играет профессионал
Подводные лодки проекта 667бдр кальмар
Учиться чему то на английском
Sqrt 45 27 sqrt 60 17 фото















