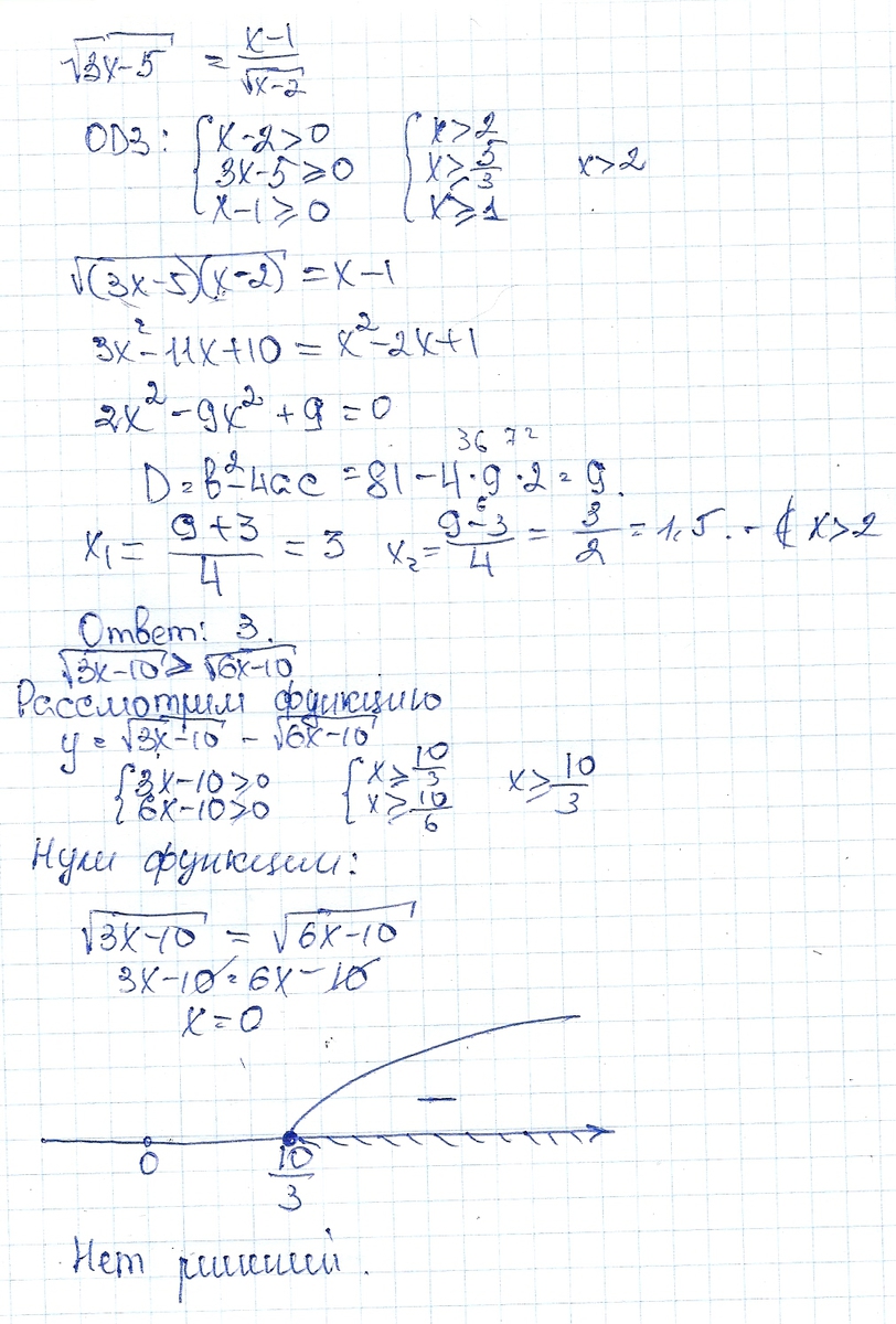
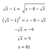
Sqrt 3x 1 sqrt x 5
Sqrt 3x 1 sqrt x 5 71 фотографий
Sea of conquest коды на март 2026
Великий новгород ул духовская
Сайт нижегородского государственного технического университета
Заработок легкий в интернете без вложений быстро
Ул басманная д 9
Эспумизан капсула 40 мг
21 автобус могилев выходные
Математика стр 8 упр 26
Расписание 25 бобруйск
Сила с которой пружина действует на груз





































































