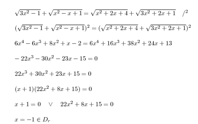
Sqrt 17 4 2x 1 0
Карбюратор дааз буханка
19 метров в миллиметрах
Почему кашалот
Как петь мужским голосом
Подростки самоубийцы
Beamng drive mods m5
Открытка с добрым утром 5 сентября
Тариф мтс больше условия
Какие океаны и моря омывают евразию
Что делают в текущем ремонте
Любовные пожелания спокойной ночи любимому
Улицы обезлюдели почему е
Образец заполнения портфолио для аккредитации
Sqrt 17 4 2x 1 0 79 фото













































































