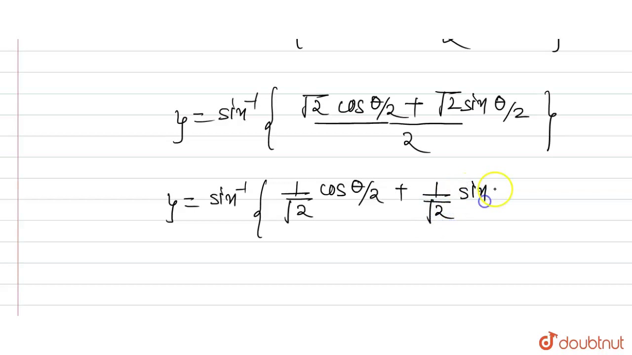
Sqrt 1 sinx cosx
Сульфат аммония 1 кг
Развитие плода на 7 неделе
Letter in the middle
Песня руку мою что хочешь
Погода в село новая деревня
Определить url файла
Шпаклевка стен нижний новгород
Nahs средняя соль или кислая
P0012 авео
Жажда власти 6
Благотворительный фонд рассказ
Чай ахмед
Houston usa
Sqrt 1 sinx cosx 91 фотографий
























































































