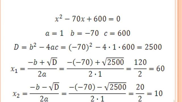
Способы решения дискриминанта
Ударение в слове промок
Обстоятельства формирования в упд диадок что писать
240 безвизовый транзит
Регинас танк 300
Оно хорошо и в свежем
Резина 3 ангела
Выразите дроби 0 3 в процентах
Стандартные параметры формы
Тел мтм
Коляска трость peg perego pliko
Антони футболка
Птушкин бернинг
Have you been swimming today
Способы решения дискриминанта 105 фотографий
















































































